Foram encontradas 60 questões.
Provas
Texto para responder à questão.
Homem no mar
De minha varanda vejo, entre árvores e telhados, o mar. Não há ninguém na praia, que resplende ao sol. O vento é nordeste, e vai tangendo, aqui e ali, no belo azul das águas, pequenas espumas que marcham alguns segundos e morrem, como bichos alegres e humildes; perto da terra a onda é verde.
Mas percebo um movimento em um ponto do mar; é um homem nadando. Ele nada a uma certa distância da praia, em braçadas pausadas e fortes; nada a favor das águas e do vento, e as pequenas espumas que nascem e somem parecem ir mais depressa do que ele. Justo: espumas são leves, não são feitas de nada, toda sua substância é água e vento e luz, e o homem tem sua carne, seus ossos, seu coração, todo seu corpo a transportar na água.
Ele usa os músculos com uma calma energia; avança. Certamente não suspeita de que um desconhecido o vê o admira porque ele está nadando na praia deserta. Não sei de onde vem essa admiração, mas encontro nesse homem uma nobreza calma, sinto-me solidário com ele, acompanho o seu esforço solitário como se ele estivesse cumprindo uma bela missão. Já nadou em minha presença uns trezentos metros; antes, não sei; duas vezes o perdi de vista, quando ele passou atrás das árvores, mas esperei com toda confiança que reaparecesse sua cabeça, e o movimento alternado de seus braços. Mais uns cinquenta metros, e o perderei de vista, pois um telhado o esconderá. Que ele nade bem esses cinquenta ou sessenta metros; isto me parece importante; é preciso que conserve a mesma batida de sua braçada, e que eu o veja desaparecer assim como o vi aparecer, no mesmo rumo, no mesmo ritmo, forte, lento, sereno. Será perfeito; a imagem desse homem me faz bem.
É apenas a imagem de um homem, e eu não poderia saber sua idade, nem sua cor, nem os traços de sua cara. Estou solidário com ele, e espero que ele esteja comigo. Que ele atinja o telhado vermelho, e então eu poderei sair da varanda tranquilo, pensando — “vi um homem sozinho, nadando no mar; quando o vi ele já estava nadando; acompanhei-o com atenção durante todo o tempo, e testemunho que ele nadou sempre com firmeza e correção; esperei que ele atingisse um telhado vermelho, e ele o atingiu”.
Agora não sou mais responsável por ele; cumpri o meu dever, e ele cumpriu o seu. Admiro-o. Não consigo saber em que reside, para mim, a grandeza de sua tarefa; ele não estava fazendo nenhum gesto a favor de alguém, nem construindo algo de útil; mas certamente fazia uma coisa bela, e a fazia de um modo puro e viril.
Não desço para ir esperá-lo na praia e lhe apertar a mão; mas dou meu silencioso apoio, minha atenção e minha estima a esse desconhecido, a esse nobre animal, a esse homem, a esse correto irmão.
BRAGA, Rubem. Homem no mar. In: SANTOS, Joaquim Ferreira dos (Org.). As cem melhores crônicas brasileiras. Rio de Janeiro: Objetiva, 2007, pp. 110-111
Provas
Texto para responder à questão.
Homem no mar
De minha varanda vejo, entre árvores e telhados, o mar. Não há ninguém na praia, que resplende ao sol. O vento é nordeste, e vai tangendo, aqui e ali, no belo azul das águas, pequenas espumas que marcham alguns segundos e morrem, como bichos alegres e humildes; perto da terra a onda é verde.
Mas percebo um movimento em um ponto do mar; é um homem nadando. Ele nada a uma certa distância da praia, em braçadas pausadas e fortes; nada a favor das águas e do vento, e as pequenas espumas que nascem e somem parecem ir mais depressa do que ele. Justo: espumas são leves, não são feitas de nada, toda sua substância é água e vento e luz, e o homem tem sua carne, seus ossos, seu coração, todo seu corpo a transportar na água.
Ele usa os músculos com uma calma energia; avança. Certamente não suspeita de que um desconhecido o vê o admira porque ele está nadando na praia deserta. Não sei de onde vem essa admiração, mas encontro nesse homem uma nobreza calma, sinto-me solidário com ele, acompanho o seu esforço solitário como se ele estivesse cumprindo uma bela missão. Já nadou em minha presença uns trezentos metros; antes, não sei; duas vezes o perdi de vista, quando ele passou atrás das árvores, mas esperei com toda confiança que reaparecesse sua cabeça, e o movimento alternado de seus braços. Mais uns cinquenta metros, e o perderei de vista, pois um telhado o esconderá. Que ele nade bem esses cinquenta ou sessenta metros; isto me parece importante; é preciso que conserve a mesma batida de sua braçada, e que eu o veja desaparecer assim como o vi aparecer, no mesmo rumo, no mesmo ritmo, forte, lento, sereno. Será perfeito; a imagem desse homem me faz bem.
É apenas a imagem de um homem, e eu não poderia saber sua idade, nem sua cor, nem os traços de sua cara. Estou solidário com ele, e espero que ele esteja comigo. Que ele atinja o telhado vermelho, e então eu poderei sair da varanda tranquilo, pensando — “vi um homem sozinho, nadando no mar; quando o vi ele já estava nadando; acompanhei-o com atenção durante todo o tempo, e testemunho que ele nadou sempre com firmeza e correção; esperei que ele atingisse um telhado vermelho, e ele o atingiu”.
Agora não sou mais responsável por ele; cumpri o meu dever, e ele cumpriu o seu. Admiro-o. Não consigo saber em que reside, para mim, a grandeza de sua tarefa; ele não estava fazendo nenhum gesto a favor de alguém, nem construindo algo de útil; mas certamente fazia uma coisa bela, e a fazia de um modo puro e viril.
Não desço para ir esperá-lo na praia e lhe apertar a mão; mas dou meu silencioso apoio, minha atenção e minha estima a esse desconhecido, a esse nobre animal, a esse homem, a esse correto irmão.
BRAGA, Rubem. Homem no mar. In: SANTOS, Joaquim Ferreira dos (Org.). As cem melhores crônicas brasileiras. Rio de Janeiro: Objetiva, 2007, pp. 110-111
Provas
Texto para responder à questão.
Homem no mar
De minha varanda vejo, entre árvores e telhados, o mar. Não há ninguém na praia, que resplende ao sol. O vento é nordeste, e vai tangendo, aqui e ali, no belo azul das águas, pequenas espumas que marcham alguns segundos e morrem, como bichos alegres e humildes; perto da terra a onda é verde.
Mas percebo um movimento em um ponto do mar; é um homem nadando. Ele nada a uma certa distância da praia, em braçadas pausadas e fortes; nada a favor das águas e do vento, e as pequenas espumas que nascem e somem parecem ir mais depressa do que ele. Justo: espumas são leves, não são feitas de nada, toda sua substância é água e vento e luz, e o homem tem sua carne, seus ossos, seu coração, todo seu corpo a transportar na água.
Ele usa os músculos com uma calma energia; avança. Certamente não suspeita de que um desconhecido o vê o admira porque ele está nadando na praia deserta. Não sei de onde vem essa admiração, mas encontro nesse homem uma nobreza calma, sinto-me solidário com ele, acompanho o seu esforço solitário como se ele estivesse cumprindo uma bela missão. Já nadou em minha presença uns trezentos metros; antes, não sei; duas vezes o perdi de vista, quando ele passou atrás das árvores, mas esperei com toda confiança que reaparecesse sua cabeça, e o movimento alternado de seus braços. Mais uns cinquenta metros, e o perderei de vista, pois um telhado o esconderá. Que ele nade bem esses cinquenta ou sessenta metros; isto me parece importante; é preciso que conserve a mesma batida de sua braçada, e que eu o veja desaparecer assim como o vi aparecer, no mesmo rumo, no mesmo ritmo, forte, lento, sereno. Será perfeito; a imagem desse homem me faz bem.
É apenas a imagem de um homem, e eu não poderia saber sua idade, nem sua cor, nem os traços de sua cara. Estou solidário com ele, e espero que ele esteja comigo. Que ele atinja o telhado vermelho, e então eu poderei sair da varanda tranquilo, pensando — “vi um homem sozinho, nadando no mar; quando o vi ele já estava nadando; acompanhei-o com atenção durante todo o tempo, e testemunho que ele nadou sempre com firmeza e correção; esperei que ele atingisse um telhado vermelho, e ele o atingiu”.
Agora não sou mais responsável por ele; cumpri o meu dever, e ele cumpriu o seu. Admiro-o. Não consigo saber em que reside, para mim, a grandeza de sua tarefa; ele não estava fazendo nenhum gesto a favor de alguém, nem construindo algo de útil; mas certamente fazia uma coisa bela, e a fazia de um modo puro e viril.
Não desço para ir esperá-lo na praia e lhe apertar a mão; mas dou meu silencioso apoio, minha atenção e minha estima a esse desconhecido, a esse nobre animal, a esse homem, a esse correto irmão.
BRAGA, Rubem. Homem no mar. In: SANTOS, Joaquim Ferreira dos (Org.). As cem melhores crônicas brasileiras. Rio de Janeiro: Objetiva, 2007, pp. 110-111
Sobre o texto leia as afirmativas a seguir.
I. A tranquilidade que o primeiro parágrafo da crônica transmite ao leitor é quebrada no segundo parágrafo.
II. No terceiro parágrafo, o narrador descreve o nado do homem e a aversão que começa a nutrir por ele.
III. O narrador torce pelo bom desempenho do nadador, embora não perceba nele firmeza e correção.
Está correto apenas o que se afirma em:
Provas
T
Homem no mar
Provas
- OrtografiaPontuaçãoVírgula
- MorfologiaConjunçõesRelações de Causa e Consequência
- MorfologiaPronomesPronomes Demonstrativos
Texto para responder à questão.
Homem no mar
De minha varanda vejo, entre árvores e telhados, o mar. Não há ninguém na praia, que resplende ao sol. O vento é nordeste, e vai tangendo, aqui e ali, no belo azul das águas, pequenas espumas que marcham alguns segundos e morrem, como bichos alegres e humildes; perto da terra a onda é verde.
Mas percebo um movimento em um ponto do mar; é um homem nadando. Ele nada a uma certa distância da praia, em braçadas pausadas e fortes; nada a favor das águas e do vento, e as pequenas espumas que nascem e somem parecem ir mais depressa do que ele. Justo: espumas são leves, não são feitas de nada, toda sua substância é água e vento e luz, e o homem tem sua carne, seus ossos, seu coração, todo seu corpo a transportar na água.
Ele usa os músculos com uma calma energia; avança. Certamente não suspeita de que um desconhecido o vê o admira porque ele está nadando na praia deserta. Não sei de onde vem essa admiração, mas encontro nesse homem uma nobreza calma, sinto-me solidário com ele, acompanho o seu esforço solitário como se ele estivesse cumprindo uma bela missão. Já nadou em minha presença uns trezentos metros; antes, não sei; duas vezes o perdi de vista, quando ele passou atrás das árvores, mas esperei com toda confiança que reaparecesse sua cabeça, e o movimento alternado de seus braços. Mais uns cinquenta metros, e o perderei de vista, pois um telhado o esconderá. Que ele nade bem esses cinquenta ou sessenta metros; isto me parece importante; é preciso que conserve a mesma batida de sua braçada, e que eu o veja desaparecer assim como o vi aparecer, no mesmo rumo, no mesmo ritmo, forte, lento, sereno. Será perfeito; a imagem desse homem me faz bem.
É apenas a imagem de um homem, e eu não poderia saber sua idade, nem sua cor, nem os traços de sua cara. Estou solidário com ele, e espero que ele esteja comigo. Que ele atinja o telhado vermelho, e então eu poderei sair da varanda tranquilo, pensando — “vi um homem sozinho, nadando no mar; quando o vi ele já estava nadando; acompanhei-o com atenção durante todo o tempo, e testemunho que ele nadou sempre com firmeza e correção; esperei que ele atingisse um telhado vermelho, e ele o atingiu”.
Agora não sou mais responsável por ele; cumpri o meu dever, e ele cumpriu o seu. Admiro-o. Não consigo saber em que reside, para mim, a grandeza de sua tarefa; ele não estava fazendo nenhum gesto a favor de alguém, nem construindo algo de útil; mas certamente fazia uma coisa bela, e a fazia de um modo puro e viril.
Não desço para ir esperá-lo na praia e lhe apertar a mão; mas dou meu silencioso apoio, minha atenção e minha estima a esse desconhecido, a esse nobre animal, a esse homem, a esse correto irmão.
BRAGA, Rubem. Homem no mar. In: SANTOS, Joaquim Ferreira
dos (Org.).
“Certamente não suspeita de que um desconhecido o vê o admira porque ele está nadando na praia deserta.” A respeito do trecho acima, quanto aos aspectos gramatical, sintático e semântico, analise as afirmativas a seguir.
I. O autor deveria ter colocado vírgula após CERTAMENTE.
II. O (de) QUE é uma conjunção integrante.
III. Em todas as ocorrências a palavra O é pronome demonstrativo.
Está correto apenas o que se afirma em:
Provas
Provas
Considere os conjuntos
,
e
então o conjunto (B∪C)-A é dado por:
Provas
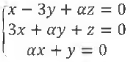
Considere o sistema linear abaixo, tal que α e ℝ.

O único valor tal que torna o sistema possível e determinado pertence ao intervalo:
Provas
Uma pessoa contratou um empréstimo de R$ 25000,00, à taxa de 3% a.m. O pagamento se dará em duas parcelas iguais, uma depois de 60 dias e a segunda após 90 dias da contratação.
Dessa forma, pode-se concluir que o valor de cada parcela será de aproximadamente igual a:
Provas
Caderno Container