Foram encontradas 40 questões.
A proposição composta equivalente a “se dois mais dois é igual a quatro, então sete
vezes três é igual a vinte e um” está corretamente descrita em qual das alternativas abaixo?
Provas
Questão presente nas seguintes provas
Determine o décimo oitavo termo de uma P.A. cuja razão é 3 e o terceiro elemento
é 8.
Provas
Questão presente nas seguintes provas
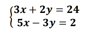
Determine o conjunto solução para o seguinte sistema:


Provas
Questão presente nas seguintes provas
Na figura abaixo, considere que as retas AB, CD e EF sejam paralelas e que os
segmentos AC, CE e BD medem 17 cm, 51 cm e 12 cm, respectivamente.

Com base no segmento de retas acima, qual é a medida (em cm) do segmento DF?

Com base no segmento de retas acima, qual é a medida (em cm) do segmento DF?
Provas
Questão presente nas seguintes provas
Roberval aplicou, sob regime de juros simples, um capital de R$ 50.000,00 a uma
taxa mensal de 1% durante seis meses. Após esse período, sacou o montante e comprou um carro
com esse valor. O valor do carro adquirido por Roberval foi:
Provas
Questão presente nas seguintes provas
A Constituição Federal de 1988 prevê algumas regras aos partidos políticos. A partir
disso, analise as assertivas abaixo:
I. É vedada a utilização de organização paramilitar pelos partidos políticos.
II. Os partidos políticos devem aplicar no mínimo 5% dos recursos do fundo partidário na criação e na manutenção de programas de promoção e difusão da participação política das mulheres, de acordo com os interesses intrapartidários.
III. Dos recursos oriundos do Fundo Especial de Financiamento de Campanha e do fundo partidário destinados às campanhas eleitorais os partidos políticos devem, obrigatoriamente, aplicar 60% em candidaturas de pessoas pretas e pardas, nas circunscrições que melhor atendam aos interesses e às estratégias partidárias.
Quais estão corretas?
I. É vedada a utilização de organização paramilitar pelos partidos políticos.
II. Os partidos políticos devem aplicar no mínimo 5% dos recursos do fundo partidário na criação e na manutenção de programas de promoção e difusão da participação política das mulheres, de acordo com os interesses intrapartidários.
III. Dos recursos oriundos do Fundo Especial de Financiamento de Campanha e do fundo partidário destinados às campanhas eleitorais os partidos políticos devem, obrigatoriamente, aplicar 60% em candidaturas de pessoas pretas e pardas, nas circunscrições que melhor atendam aos interesses e às estratégias partidárias.
Quais estão corretas?
Provas
Questão presente nas seguintes provas
Com base na Constituição Federal de 1988, art. 5º, analise as assertivas abaixo e
assinale V, se verdadeiras, ou F, se falsas.
( ) São assegurados, nos termos da lei, o direito de fiscalização do aproveitamento econômico das obras que criarem ou de que participarem aos criadores, aos intérpretes e às respectivas representações sindicais e associativas.
( ) O Estado prestará assistência jurídica integral e gratuita a todos que solicitarem.
( ) Os tratados e convenções internacionais sobre direitos humanos que forem aprovados em cada Casa do Congresso Nacional, em dois turnos, por três quintos dos votos dos respectivos membros, serão equivalentes às emendas constitucionais.
A ordem correta de preenchimento dos parênteses, de cima para baixo, é:
( ) São assegurados, nos termos da lei, o direito de fiscalização do aproveitamento econômico das obras que criarem ou de que participarem aos criadores, aos intérpretes e às respectivas representações sindicais e associativas.
( ) O Estado prestará assistência jurídica integral e gratuita a todos que solicitarem.
( ) Os tratados e convenções internacionais sobre direitos humanos que forem aprovados em cada Casa do Congresso Nacional, em dois turnos, por três quintos dos votos dos respectivos membros, serão equivalentes às emendas constitucionais.
A ordem correta de preenchimento dos parênteses, de cima para baixo, é:
Provas
Questão presente nas seguintes provas
3599421
Ano: 2025
Disciplina: Legislação Estadual e Distrital
Banca: FUNDATEC
Orgão: Pref. Marau-RS
Disciplina: Legislação Estadual e Distrital
Banca: FUNDATEC
Orgão: Pref. Marau-RS
Provas:
Com base no Estatuto Estadual da Igualdade Racial, Lei nº 13.694/2011, analise as
assertivas abaixo:
I. As instituições de ensino privado, além de respeitar as diversidades étnicas e culturais, deverão ter em seu quadro docente 45% de negros.
II. O Estado deverá promover programas de incentivo, inclusão e permanência da população negra nos ensinos Médio, Técnico e Superior, adotando medidas para incentivar e apoiar a criação de cursos de acesso ao Ensino Superior para estudantes negros, como mecanismo para viabilizar uma inclusão mais ampla e adequada destes nas instituições.
III. A inclusão do quesito raça, a ser registrado segundo a autoclassificação, será obrigatória em todos os registros administrativos direcionados a empregadores e trabalhadores dos setores público e privado.
Quais estão corretas?
I. As instituições de ensino privado, além de respeitar as diversidades étnicas e culturais, deverão ter em seu quadro docente 45% de negros.
II. O Estado deverá promover programas de incentivo, inclusão e permanência da população negra nos ensinos Médio, Técnico e Superior, adotando medidas para incentivar e apoiar a criação de cursos de acesso ao Ensino Superior para estudantes negros, como mecanismo para viabilizar uma inclusão mais ampla e adequada destes nas instituições.
III. A inclusão do quesito raça, a ser registrado segundo a autoclassificação, será obrigatória em todos os registros administrativos direcionados a empregadores e trabalhadores dos setores público e privado.
Quais estão corretas?
Provas
Questão presente nas seguintes provas
Com base no Plano de Carreira do Município, Lei nº 5.255/2016, a política norteadora
do Plano Carreira da Administração Direta do Município de Marau/RS e suas autarquias, fundadas nos
princípios de flexibilidade e maximização da realização do potencial individual do servidor, têm por
objetivos:
I. Proporcionar aos servidores oportunidades de ascensão na carreira.
II. Prezar pelo desenvolvimento e retenção de propriedade imaterial no serviço público municipal.
III. Estimular a discussão técnica pautada pelo crescimento de ideais.
Quais estão corretos?
I. Proporcionar aos servidores oportunidades de ascensão na carreira.
II. Prezar pelo desenvolvimento e retenção de propriedade imaterial no serviço público municipal.
III. Estimular a discussão técnica pautada pelo crescimento de ideais.
Quais estão corretos?
Provas
Questão presente nas seguintes provas
A partir do Estatuto do Servidor Público de Marau/RS, Lei nº 1.402/1990, analise as
assertivas abaixo:
I. Nenhum servidor poderá perceber mensalmente, a título de remuneração ou subsídio, importância superior ao subsídio mensal do Prefeito Municipal.
II. O servidor perderá a parcela da remuneração diária proporcional aos atrasos, ausências e saídas antecipadas, sem prejuízo da penalidade disciplinar cabível.
III. O servidor será obrigado a repor, de uma só vez, a importância do prejuízo causado à Fazenda Municipal em virtude de alcance, desfalque ou omissão em efetuar o recolhimento ou entradas nos prazos legais.
Quais estão corretas?
I. Nenhum servidor poderá perceber mensalmente, a título de remuneração ou subsídio, importância superior ao subsídio mensal do Prefeito Municipal.
II. O servidor perderá a parcela da remuneração diária proporcional aos atrasos, ausências e saídas antecipadas, sem prejuízo da penalidade disciplinar cabível.
III. O servidor será obrigado a repor, de uma só vez, a importância do prejuízo causado à Fazenda Municipal em virtude de alcance, desfalque ou omissão em efetuar o recolhimento ou entradas nos prazos legais.
Quais estão corretas?
Provas
Questão presente nas seguintes provas
Cadernos
Caderno Container