Foram encontradas 40 questões.
O gráfico da função a seguir indica uma:

Provas
Questão presente nas seguintes provas
Analise o conjunto lógico a seguir:

Sobre sua interpretação, assinale a alternativa INCORRETA.
Provas
Questão presente nas seguintes provas
Em uma sala de aula composta por 40 alunos, 20 gostam de vôlei e 32 gostam de futebol. Sabendo que 4 alunos não gostam nem de vôlei e nem de futebol, assinale
a alternativa que indica quantos alunos gostam apenas de
vôlei:
Provas
Questão presente nas seguintes provas
Analise a progressão geométrica a seguir:
![]()
Assinale a alternativa que define CORRETAMENTE a soma dos algarismos do vigésimo termo da progressão acima.
Provas
Questão presente nas seguintes provas
Analise as duas matrizes a seguir:
![]()
A diferença entre o determinante de B e o determinante de A é igual a:
Provas
Questão presente nas seguintes provas
Analise a seguinte situação hipotética: em uma caixa
há 5 bolas azuis e 8 bolas vermelhas. Tirando duas bolas
da caixa, sem que haja reposição da primeira, assinale a
alternativa que indica CORRETA e aproximadamente a
probabilidade de serem retiradas uma bola azul e uma
bola vermelha.
Provas
Questão presente nas seguintes provas
A partir de cinco pessoas deverá ser formada uma
equipe com três delas, sem que haja repetição dos membros e sabendo que a ordem entre elas dentro da equipe
não dará diferença. Dessa forma, assinale a alternativa
que indica de quantas formas distintas a equipe poderá
ser formada.
Provas
Questão presente nas seguintes provas
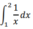
Assinale a alternativa que indica CORRETAMENTE o resultado da integral a seguir:

Provas
Questão presente nas seguintes provas
Se x for uma variável aleatória normal com média
E(x) = μ e variância V(x) = σ², a variável aleatória Z
será uma variável aleatória normal, com E(Z) =
0 e V(Z) = 1 quando:
Provas
Questão presente nas seguintes provas
Segundo o Teorema Central do Limite, para grandes
amostras, independentemente da distribuição da variável
de interesse, a distribuição das médias amostrais será
aproximadamente igual a:
Provas
Questão presente nas seguintes provas
Cadernos
Caderno Container