Foram encontradas 1.024 questões.
Assinale a alternativa a seguir que NÃO representa uma guia específica no menu principal do Microsoft
Excel 2016.
Provas
Questão presente nas seguintes provas
- Nocões BásicasSoftwareTeclas de Atalho
- InternetNavegadores (Browsers)Google Chrome
- Sistemas OperacionaisWindows
Ao utilizar o sistema operacional Windows, quais atalhos de teclado do Google Chrome servem
respectivamente para “abrir a página de downloads em uma nova guia” e “exibir ou ocultar a barra de favoritos”?
Provas
Questão presente nas seguintes provas
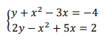
Marque a alternativa que apresenta o valor de x + y de tal forma que x e y sejam soluções inteiras do sistema
a seguir.


Provas
Questão presente nas seguintes provas
Demora 2 dias para 2 torneiras iguais encherem um tanque de 2.000 L de água. Se forem utilizadas 3
torneiras iguais às outras para encher um tanque de 3.000 L de água, serão necessários quantos dias?
Provas
Questão presente nas seguintes provas
Assinale a alternativa que apresenta o resultado da subtração √27 − √12.
Provas
Questão presente nas seguintes provas
Patrícia fez um empréstimo de R$ 25.000,00 a uma taxa de juro simples de 0,3% a.m. por três anos. Qual
foi o montante do empréstimo de Patrícia após esse tempo?
Provas
Questão presente nas seguintes provas
Em um triângulo retângulo ABC, reto em B, sabendo-se que sen(Â) = 0,3 e AC = 12 cm, qual é a medida
de BC?
Provas
Questão presente nas seguintes provas
Em uma labareda de chamas e fumaça, a SpaceX lançou o maior foguete já construído e enviou a nave
Starship para o espaço – mas depois o veículo acabou destruído. Embora a missão completa não tenha sido
concluída, o lançamento representa um passo importante para o foguete que a Nasa planeja usar para pousar
astronautas na Lua.
Às 7h03, horário local, em Boca Chica, no estado norte-americano do Texas, o enorme propulsor chamado
Super Heavy decolou e se separou com sucesso da espaçonave do estágio superior. Em seguida, o propulsor
explodiu ao cair de volta na Terra, em vez de cair no Golfo do México, como previsto. O estágio superior da
Starship parecia estar a caminho, em segurança, de um voo ao redor da Terra, em direção ao leste, para
circundar o planeta e depois cair no Oceano Pacífico, próximo ao Havaí.
Mas, minutos depois, a comunicação com a Starship foi perdida. Enquanto a nave subia para o espaço,
atingindo 480 mil pés e pouco antes de a SpaceX planejar o desligamento dos motores, o sistema automatizado
de terminação de voo foi acionado e destruiu a Starship sobre o Golfo do México.
“Parabéns às equipes que fizeram progressos no teste de voo de hoje”, disse o administrador da Nasa, Bill
Nelson, no X, antigo Twitter, após o lançamento.
Os lançamentos experimentais da SpaceX geralmente apresentam explosões e contratempos que fazem
as pessoas se perguntarem se o voo de teste falhou. Esse lançamento atingiu seus objetivos principais, como
atestaram os aplausos da equipe da SpaceX em Hawthorne, Califórnia, durante o lançamento desta manhã.
Para que o lançamento de um foguete experimental seja considerado um sucesso, ele deve ter um desempenho
melhor do que o teste anterior – e durante o primeiro voo de teste, o foguete ficou fora de controle depois que
a Starship não conseguiu se separar e, em seguida, se autodestruiu no ar.
No voo de hoje, a SpaceX fez uma alteração na forma como ocorre essa separação crítica da espaçonave
superior. O estágio superior disparou seus motores segundos antes de as seções do foguete se separarem,
um método chamado de “separação de estágio quente” e, notavelmente, funcionou em sua primeira tentativa
no mundo real.
Após essa parte importante do voo, as coisas começaram a desandar. O booster explodiu na descida em
vez de disparar seus motores novamente para dar meia-volta e pousar no Golfo. E o estágio superior se destruiu
automaticamente devido a um problema durante o voo.
É difícil acreditar que um programa de voo espacial humano dependeria da explosão repetida de foguetes
e naves espaciais. Também é difícil imaginar que os órgãos reguladores estaduais e federais permitiriam isso.
Mas essa é a história da SpaceX.
(Disponível em: https://www.nationalgeographicbrasil.com/espaco/2023/11/o-segundo-lancamento-do-mega-foguete-da-spacextermina-com-uma-explosao-o-que-acontecera-agora)
Assinale a alternativa que justifica CORRETAMENTE o uso das vírgulas no trecho selecionado.
Provas
Questão presente nas seguintes provas
Em uma labareda de chamas e fumaça, a SpaceX lançou o maior foguete já construído e enviou a nave
Starship para o espaço – mas depois o veículo acabou destruído. Embora a missão completa não tenha sido
concluída, o lançamento representa um passo importante para o foguete que a Nasa planeja usar para pousar
astronautas na Lua.
Às 7h03, horário local, em Boca Chica, no estado norte-americano do Texas, o enorme propulsor chamado
Super Heavy decolou e se separou com sucesso da espaçonave do estágio superior. Em seguida, o propulsor
explodiu ao cair de volta na Terra, em vez de cair no Golfo do México, como previsto. O estágio superior da
Starship parecia estar a caminho, em segurança, de um voo ao redor da Terra, em direção ao leste, para
circundar o planeta e depois cair no Oceano Pacífico, próximo ao Havaí.
Mas, minutos depois, a comunicação com a Starship foi perdida. Enquanto a nave subia para o espaço,
atingindo 480 mil pés e pouco antes de a SpaceX planejar o desligamento dos motores, o sistema automatizado
de terminação de voo foi acionado e destruiu a Starship sobre o Golfo do México.
“Parabéns às equipes que fizeram progressos no teste de voo de hoje”, disse o administrador da Nasa, Bill
Nelson, no X, antigo Twitter, após o lançamento.
Os lançamentos experimentais da SpaceX geralmente apresentam explosões e contratempos que fazem
as pessoas se perguntarem se o voo de teste falhou. Esse lançamento atingiu seus objetivos principais, como
atestaram os aplausos da equipe da SpaceX em Hawthorne, Califórnia, durante o lançamento desta manhã.
Para que o lançamento de um foguete experimental seja considerado um sucesso, ele deve ter um desempenho
melhor do que o teste anterior – e durante o primeiro voo de teste, o foguete ficou fora de controle depois que
a Starship não conseguiu se separar e, em seguida, se autodestruiu no ar.
No voo de hoje, a SpaceX fez uma alteração na forma como ocorre essa separação crítica da espaçonave
superior. O estágio superior disparou seus motores segundos antes de as seções do foguete se separarem,
um método chamado de “separação de estágio quente” e, notavelmente, funcionou em sua primeira tentativa
no mundo real.
Após essa parte importante do voo, as coisas começaram a desandar. O booster explodiu na descida em
vez de disparar seus motores novamente para dar meia-volta e pousar no Golfo. E o estágio superior se destruiu
automaticamente devido a um problema durante o voo.
É difícil acreditar que um programa de voo espacial humano dependeria da explosão repetida de foguetes
e naves espaciais. Também é difícil imaginar que os órgãos reguladores estaduais e federais permitiriam isso.
Mas essa é a história da SpaceX.
(Disponível em: https://www.nationalgeographicbrasil.com/espaco/2023/11/o-segundo-lancamento-do-mega-foguete-da-spacextermina-com-uma-explosao-o-que-acontecera-agora)
Provas
Questão presente nas seguintes provas
Em uma labareda de chamas e fumaça, a SpaceX lançou o maior foguete já construído e enviou a nave
Starship para o espaço – mas depois o veículo acabou destruído. Embora a missão completa não tenha sido
concluída, o lançamento representa um passo importante para o foguete que a Nasa planeja usar para pousar
astronautas na Lua.
Às 7h03, horário local, em Boca Chica, no estado norte-americano do Texas, o enorme propulsor chamado
Super Heavy decolou e se separou com sucesso da espaçonave do estágio superior. Em seguida, o propulsor
explodiu ao cair de volta na Terra, em vez de cair no Golfo do México, como previsto. O estágio superior da
Starship parecia estar a caminho, em segurança, de um voo ao redor da Terra, em direção ao leste, para
circundar o planeta e depois cair no Oceano Pacífico, próximo ao Havaí.
Mas, minutos depois, a comunicação com a Starship foi perdida. Enquanto a nave subia para o espaço,
atingindo 480 mil pés e pouco antes de a SpaceX planejar o desligamento dos motores, o sistema automatizado
de terminação de voo foi acionado e destruiu a Starship sobre o Golfo do México.
“Parabéns às equipes que fizeram progressos no teste de voo de hoje”, disse o administrador da Nasa, Bill
Nelson, no X, antigo Twitter, após o lançamento.
Os lançamentos experimentais da SpaceX geralmente apresentam explosões e contratempos que fazem
as pessoas se perguntarem se o voo de teste falhou. Esse lançamento atingiu seus objetivos principais, como
atestaram os aplausos da equipe da SpaceX em Hawthorne, Califórnia, durante o lançamento desta manhã.
Para que o lançamento de um foguete experimental seja considerado um sucesso, ele deve ter um desempenho
melhor do que o teste anterior – e durante o primeiro voo de teste, o foguete ficou fora de controle depois que
a Starship não conseguiu se separar e, em seguida, se autodestruiu no ar.
No voo de hoje, a SpaceX fez uma alteração na forma como ocorre essa separação crítica da espaçonave
superior. O estágio superior disparou seus motores segundos antes de as seções do foguete se separarem,
um método chamado de “separação de estágio quente” e, notavelmente, funcionou em sua primeira tentativa
no mundo real.
Após essa parte importante do voo, as coisas começaram a desandar. O booster explodiu na descida em
vez de disparar seus motores novamente para dar meia-volta e pousar no Golfo. E o estágio superior se destruiu
automaticamente devido a um problema durante o voo.
É difícil acreditar que um programa de voo espacial humano dependeria da explosão repetida de foguetes
e naves espaciais. Também é difícil imaginar que os órgãos reguladores estaduais e federais permitiriam isso.
Mas essa é a história da SpaceX.
(Disponível em: https://www.nationalgeographicbrasil.com/espaco/2023/11/o-segundo-lancamento-do-mega-foguete-da-spacextermina-com-uma-explosao-o-que-acontecera-agora)
Assinale a alternativa que indica CORRETAMENTE a relação de sentido expressa pelo elemento destacado no fragmento.
Provas
Questão presente nas seguintes provas
Cadernos
Caderno Container