Foram encontradas 850 questões.
Disciplina: TI - Banco de Dados
Banca: MetroCapital
Orgão: Pref. Nova Odessa-SP
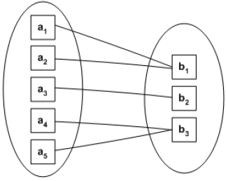
Tomando como base conhecimentos acerca da cardinalidade de mapeamentos em bancos de dados, analise a imagem a seguir:

A que tipo de relacionamento a imagem se refere?
Provas
Disciplina: TI - Banco de Dados
Banca: MetroCapital
Orgão: Pref. Nova Odessa-SP
Analise a imagem do modelo a seguir:

Rua, data e saldo são:
Provas
Disciplina: TI - Banco de Dados
Banca: MetroCapital
Orgão: Pref. Nova Odessa-SP
Tendo como base conceitos de representação gráfica de um modelo entidade relacionamento, analise a imagem a seguir:

A imagem ilustrada acima representa um(a):
Provas
Disciplina: TI - Banco de Dados
Banca: MetroCapital
Orgão: Pref. Nova Odessa-SP
- Modelagem de DadosEntidades
- Modelagem de DadosFundamentos de Modelagem de Dados
- Modelagem de DadosModelo Entidade-Relacionamento
Em um banco de dados relacional, uma entidade é um objeto que existe e é distinguível dos outros objetos. Uma entidade pode ser classificada como:
Provas
Disciplina: TI - Banco de Dados
Banca: MetroCapital
Orgão: Pref. Nova Odessa-SP
- Banco de Dados RelacionalFundamentos de Banco de Dados Relacionais
- Banco de Dados RelacionalTipos de ChavesChave Primária
Sobre banco de dados relacional é correto afirmar que:
Provas
Na a responsabilidade de cada sócio é restrita ao valor de suas quotas, mas todos respondem solidariamente pela integralização do capital social.
Assinale a alternativa que preencha corretamente a lacuna do texto.
Provas
O que o Ativo representa?
Provas
Demonstra o total de recursos aplicados pelos proprietários na empresa.
O conceito acima refere-se:
Provas
Qual o objetivo do DRE (Demonstração do Resultado do Exercício)?
Provas
É um exemplo de conta redutora de Ativo:
Provas
Caderno Container