Foram encontradas 535 questões.
Três amigos em um bar dizem ao garçom que ele ganhará de gorjeta os 10% em
cima do valor da conta e ainda darão de brinde a mais o valor da soma dos divisores
de 360 (esse valor em reais). Eles não sabiam que o garçom era um conhecedor de
matemática básica. Sabendo que o valor da conta foi R$ 880,00 e que o garçom
acertou os cálculos, é CORRETO afirmar que o garçom recebeu:
Provas
Questão presente nas seguintes provas
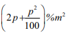
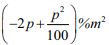
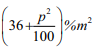
Um casal tem um terreno e deseja construir uma casa, sendo que a sala da casa
possui o formato de um quadrado de lado 6 metros. A esposa diz ao marido que
queria a sala maior e solicita que aumente o comprimento do lado da sala em p %.
Nestas condições é CORRETO afirmar que a área da sala terá um acréscimo em
relação ao planejamento inicial de:
Provas
Questão presente nas seguintes provas
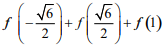
Seja f : ℝ – { 0 }→ ℝ uma função que satisfaz à propriedade 2 f(x) + 3 f(1/x) = x, então é CORRETO afirmar que
é igual a:
Provas
Questão presente nas seguintes provas
Em uma progressão aritmética (PA) a soma dos três primeiros termos é igual a 51 e a
soma dos quatro últimos é igual a 238. Se o primeiro termo da PA é igual a 12, então
é CORRETO afirmar que a soma dos termos dessa PA é igual a:
Provas
Questão presente nas seguintes provas
3889508
Ano: 2025
Disciplina: Matemática Financeira
Banca: UEPB
Orgão: Pref. Nova Palmeira-PB
Disciplina: Matemática Financeira
Banca: UEPB
Orgão: Pref. Nova Palmeira-PB
Provas:
Uma caixa de chocolate contém 24 unidades e cada unidade do chocolate custa
R$1,20. Quando o pagamento é efetuado no PIX o cliente tem um desconto de 5%
do valor a ser pago. Se um cliente comprou 30 caixas de chocolate e pagou no PIX, é
CORRETO afirmar que o cliente pagou
Provas
Questão presente nas seguintes provas
3889507
Ano: 2025
Disciplina: Inglês (Língua Inglesa)
Banca: UEPB
Orgão: Pref. Nova Palmeira-PB
Disciplina: Inglês (Língua Inglesa)
Banca: UEPB
Orgão: Pref. Nova Palmeira-PB
Provas:
New Technologies in the English Language Classroom
The integration of new technologies in English language classrooms has revolutionized teaching and learning processes, enabling more interactive and engaging lessons. Digital tools such as language-learning apps, interactive whiteboards, and online resources provide students with diverse and flexible opportunities to practice English both in and out of the classroom. According to Warschauer and Healey (1998), these resources help accommodate different learning styles and needs, facilitating student-centered learning that encourages autonomy and active engagement with the language. Furthermore, teachers can tailor their materials to be more relevant and accessible, enhancing students' motivation and interest in language acquisition.
Another significant advancement is the use of artificial intelligence (AI) and adaptive learning platforms, which can analyze students' progress and tailor activities accordingly. Platforms like Duolingo and Babbel utilize algorithms to personalize lessons based on individual performance, ensuring that students are consistently challenged at the right level (Godwin-Jones, 2019). This targeted approach allows students to improve at their own pace, addressing specific weaknesses and reinforcing strengths. Moreover, virtual and augmented reality technologies are increasingly employed to create immersive language experiences. By simulating real-life situations, these tools enable students to practice language skills in authentic contexts, which helps increase their confidence and fluency.
Finally , new technologies also enable a global approach to language learning, connecting students with peers and native speakers worldwide through video conferencing and social media. Platforms like Zoom and Skype allow students to engage in live conversations, enhancing their listening and speaking skills in real-time. According to Sykes et al. (2008), such interactions promote intercultural understanding and give students a practical application for their language skills, which can increase both their motivation and proficiency. As technology continues to evolve, its role in English language classrooms will undoubtedly expand, fostering an environment where students can learn more effectively and creatively. Godwin-Jones, R. (2019). Emerging Technologies: The Evolution and Impact of Language-Learning Apps. *Language Learning & Technology*, 23(2), 5–17. Sykes, J. M., Oskoz, A., & Thorne, S. L. (2008). Web 2.0, Synthetic Immersive Environments, and the Future of Language Education. *CALICO Journal*, 25(3), 528–546.
Warschauer, M., & Healey, D. (1998). Computers and Language Learning: An Overview. *Language Teaching*, 31(2), 57–71.
According to the text, how do artificial intelligence (AI) and adaptive learning platforms contribute to the learning process in English language classrooms?
The integration of new technologies in English language classrooms has revolutionized teaching and learning processes, enabling more interactive and engaging lessons. Digital tools such as language-learning apps, interactive whiteboards, and online resources provide students with diverse and flexible opportunities to practice English both in and out of the classroom. According to Warschauer and Healey (1998), these resources help accommodate different learning styles and needs, facilitating student-centered learning that encourages autonomy and active engagement with the language. Furthermore, teachers can tailor their materials to be more relevant and accessible, enhancing students' motivation and interest in language acquisition.
Another significant advancement is the use of artificial intelligence (AI) and adaptive learning platforms, which can analyze students' progress and tailor activities accordingly. Platforms like Duolingo and Babbel utilize algorithms to personalize lessons based on individual performance, ensuring that students are consistently challenged at the right level (Godwin-Jones, 2019). This targeted approach allows students to improve at their own pace, addressing specific weaknesses and reinforcing strengths. Moreover, virtual and augmented reality technologies are increasingly employed to create immersive language experiences. By simulating real-life situations, these tools enable students to practice language skills in authentic contexts, which helps increase their confidence and fluency.
Finally , new technologies also enable a global approach to language learning, connecting students with peers and native speakers worldwide through video conferencing and social media. Platforms like Zoom and Skype allow students to engage in live conversations, enhancing their listening and speaking skills in real-time. According to Sykes et al. (2008), such interactions promote intercultural understanding and give students a practical application for their language skills, which can increase both their motivation and proficiency. As technology continues to evolve, its role in English language classrooms will undoubtedly expand, fostering an environment where students can learn more effectively and creatively. Godwin-Jones, R. (2019). Emerging Technologies: The Evolution and Impact of Language-Learning Apps. *Language Learning & Technology*, 23(2), 5–17. Sykes, J. M., Oskoz, A., & Thorne, S. L. (2008). Web 2.0, Synthetic Immersive Environments, and the Future of Language Education. *CALICO Journal*, 25(3), 528–546.
Warschauer, M., & Healey, D. (1998). Computers and Language Learning: An Overview. *Language Teaching*, 31(2), 57–71.
According to the text, how do artificial intelligence (AI) and adaptive learning platforms contribute to the learning process in English language classrooms?
Provas
Questão presente nas seguintes provas
3889506
Ano: 2025
Disciplina: Inglês (Língua Inglesa)
Banca: UEPB
Orgão: Pref. Nova Palmeira-PB
Disciplina: Inglês (Língua Inglesa)
Banca: UEPB
Orgão: Pref. Nova Palmeira-PB
Provas:
Researchers say they have found the likely time in history when human beings first began to speak. Dr Steven Mithen, an
archaeologist and expert in prehistory, suggested that basic language was formed around 1.6 million years ago. This is eight times
earlier than many scientists thought. Experts in evolution previously believed that spoken human language began around 200,000
years ago. Mithen said his studies show that the first human language developed either in eastern or southern Africa. He said the ability
to speak helped evolution. He said speech was, "without doubt, the key which made much of subsequent human physical and cultural
evolution possible".
Dr Mithen explains how he believes human speech developed so long ago in his new book called, "The Language Puzzle". He says our brain quickly increased in size just over 1.5 million years ago. This increase changed the structure of our brain. An area called the frontal lobe developed. This is the part of the brain that produces language. Another important change was the development of our vocal tract. This is where we produce sound, and therefore speech. Mithen said speech allowed humans to spread around the world. It meant humans could do three important things. They could think of and plan future actions, and they could pass on knowledge. Mithen said language "changed the human story profoundly".
https://www.independent.co.uk/news/science/archaeology/human-language-study-origins-speaking-b2514451.html
https://uk.news.yahoo.com/celebrity/humans-speaking-lot-longer-originally-145649872.html
https://sciworthy.com/how-did-humans-learn-to-speak/
According to Dr. Steven Mithen, what was the most significant consequence of the development of human speech for early humans?
Dr Mithen explains how he believes human speech developed so long ago in his new book called, "The Language Puzzle". He says our brain quickly increased in size just over 1.5 million years ago. This increase changed the structure of our brain. An area called the frontal lobe developed. This is the part of the brain that produces language. Another important change was the development of our vocal tract. This is where we produce sound, and therefore speech. Mithen said speech allowed humans to spread around the world. It meant humans could do three important things. They could think of and plan future actions, and they could pass on knowledge. Mithen said language "changed the human story profoundly".
https://www.independent.co.uk/news/science/archaeology/human-language-study-origins-speaking-b2514451.html
https://uk.news.yahoo.com/celebrity/humans-speaking-lot-longer-originally-145649872.html
https://sciworthy.com/how-did-humans-learn-to-speak/
According to Dr. Steven Mithen, what was the most significant consequence of the development of human speech for early humans?
Provas
Questão presente nas seguintes provas
In the context of linguistic variation in English language teaching, which approach best supports the understanding and appreciation of
dialectal differences among learners?
Provas
Questão presente nas seguintes provas
3889504
Ano: 2025
Disciplina: Inglês (Língua Inglesa)
Banca: UEPB
Orgão: Pref. Nova Palmeira-PB
Disciplina: Inglês (Língua Inglesa)
Banca: UEPB
Orgão: Pref. Nova Palmeira-PB
Provas:
In the sentence "The quick brown fox jumped over the lazy dog," which type of noun structure is primarily used?
Provas
Questão presente nas seguintes provas
3889503
Ano: 2025
Disciplina: Inglês (Língua Inglesa)
Banca: UEPB
Orgão: Pref. Nova Palmeira-PB
Disciplina: Inglês (Língua Inglesa)
Banca: UEPB
Orgão: Pref. Nova Palmeira-PB
Provas:
- Gramática - Língua InglesaVerbos | Verbs
- Gramática - Língua InglesaOrações condicionais | Conditional Clauses
In the sentence "Had she known about the meeting, she would have attended it," which aspect of the verb structure is demonstrated?
Provas
Questão presente nas seguintes provas
Cadernos
Caderno Container