Foram encontradas 60 questões.
Provas
Provas
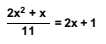
Marque a solução CORRETA da equação a seguir.

Provas
Qual o resultado do cálculo a seguir?

Provas
Provas
Provas
Estátua Falsa
Só de oiro falso meus olhos se douram;
Sou esfinge sem mistério no poente.
A tristeza das coisas que não foram
Na minha alma desceu veladamente.
Na minha dor quebram-se espadas de ânsia,
Gomos de luz em treva se misturam.
As sombras que eu dimano não perduram,
Como ontem para mim, hoje é distância.
Já não estremeço em face de segredo;
Nada me aloira, nada me aterra
A vida corre sobre mim em guerra,
E nem sequer um arrepio de medo!
Sou estrela ébria que perdeu os céus,
Sereia louca que deixa o mar;
Sou templo prestes a ruir sem deus,
Estátua falsa ainda erguida no ar...
Mário de Sá Carneiro.
Provas
Estátua Falsa
Só de oiro falso meus olhos se douram;
Sou esfinge sem mistério no poente.
A tristeza das coisas que não foram
Na minha alma desceu veladamente.
Na minha dor quebram-se espadas de ânsia,
Gomos de luz em treva se misturam.
As sombras que eu dimano não perduram,
Como ontem para mim, hoje é distância.
Já não estremeço em face de segredo;
Nada me aloira, nada me aterra
A vida corre sobre mim em guerra,
E nem sequer um arrepio de medo!
Sou estrela ébria que perdeu os céus,
Sereia louca que deixa o mar;
Sou templo prestes a ruir sem deus,
Estátua falsa ainda erguida no ar...
Mário de Sá Carneiro.
Provas
Estátua Falsa
Só de oiro falso meus olhos se douram;
Sou esfinge sem mistério no poente.
A tristeza das coisas que não foram
Na minha alma desceu veladamente.
Na minha dor quebram-se espadas de ânsia,
Gomos de luz em treva se misturam.
As sombras que eu dimano não perduram,
Como ontem para mim, hoje é distância.
Já não estremeço em face de segredo;
Nada me aloira, nada me aterra
A vida corre sobre mim em guerra,
E nem sequer um arrepio de medo!
Sou estrela ébria que perdeu os céus,
Sereia louca que deixa o mar;
Sou templo prestes a ruir sem deus,
Estátua falsa ainda erguida no ar...
Mário de Sá Carneiro.
Provas
Provas
Caderno Container