Foram encontradas 49 questões.
No programa Microsoft Excel 2016, um usuário configura a seguinte função na célula A5:
| =SE(A1 > 15;VERDADEIRO;FALSO) |
Ao digitar o número 15 na célula A1, vai ter como resultado em A5:
Provas
A praga virtual que é um software malicioso e pode entrar em um computador disfarçado como um programa comum, e possibilita a abertura de uma porta ou vulnerabilidade que possam invadir seu host alvo é:
Provas
Disciplina: TI - Redes de Computadores
Banca: FUNCERN
Orgão: Pref. Parnamirim-RN
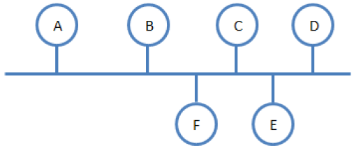
Ao analisar uma rede de computadores, foi verificado que os hosts A, B, C, D, E, e F, estão conectados como mostra a figura a seguir:

Logo, o tipo de topologia utilizada na rede é:
Provas
No programa Microsoft Word 2016, para salvar o arquivo, selecionar todo o documento e colocar para imprimir usa-se, respectivamente os seguintes atalhos:
Provas
Disciplina: Segurança Privada e Transportes
Banca: FUNCERN
Orgão: Pref. Parnamirim-RN
| Direção defensiva é o ato do condutor dirigir um veículo de modo a evitar qualquer tipo de acidente, mesmo que os demais condutores ou pedestres pratiquem ações incorretas ou ainda, que ele sofra ação irregular das condições adversas. Fonte: Associação Brasileira dos Detrans. |
O condutor defensivo deve reconhecer as condições adversas, podendo ser definida como todos aqueles fatores que podem prejudicar o real desempenho no ato de conduzir e, tornando maior a possibilidade de um acidente de trânsito. As condições adversas podem ser classificadas na prática da direção defensiva como sendo:
Provas
Disciplina: Legislação de Trânsito
Banca: FUNCERN
Orgão: Pref. Parnamirim-RN
No tocante as normas destinadas para a habilitação para conduzir veículo automotor e elétrico, enumere corretamente a segunda coluna de acordo com a primeira verificando na primeira coluna as categorias das habilitações segundo o Código de Trânsito Brasileiro – CTB com a segunda, definição na aplicação do tipo de categoria.
1 – CATEGORIA “B”
2 – CATEGORIA “C”
3 – CATEGORIA “D”
4 – CATEGORIA “E”
( ) condutor de combinação de veículos em que a unidade tratora se enquadre nas categorias B, C ou D e cuja unidade acoplada, reboque, semirreboque, trailer ou articulada tenha 6.000 kg (seis mil quilogramas) ou mais de peso bruto total, ou cuja lotação exceda a 8 (oito) lugares.
( ) condutor de veículo motorizado, não abrangido pela categoria A, cujo peso bruto total não exceda a 3.500 kg (três mil e quinhentos quilogramas) e cuja lotação não exceda a oito lugares, excluído o do motorista.
( ) condutor de veículo motorizado utilizado no transporte de passageiros, cuja lotação exceda a oito lugares, excluído o do motorista.
( ) condutor de veículo motorizado utilizado em transporte de carga, cujo peso bruto total exceda a 3.500 kg (três mil e quinhentos quilogramas).
Assinale a sequência respectivamente correta.
Provas
Disciplina: Legislação de Trânsito
Banca: FUNCERN
Orgão: Pref. Parnamirim-RN
| As regras de circulação têm por objetivo orientar o condutor quanto à circulação pelas vias públicas, de acordo com a lei em vigor. Estas regras determinarão o comportamento do condutor na via. Seguindo tais regras, o condutor terá um comportamento adequado nas vias públicas, ou seja, estará fazendo e participando de um trânsito seguro e confiável. Fonte: Associação Brasileira dos Detrans. |
No tocante as normas gerais de circulação e conduta indicadas no Código de Trânsito Brasileiro – CTB, instituída pela Lei 9.503, de 23 de setembro de 1997, analise os tópicos a seguir:
I. Antes de colocar o veículo em circulação nas vias públicas, o condutor deverá verificar a existência e as boas condições de funcionamento dos equipamentos de uso obrigatório, bem como assegurar-se da existência de combustível suficiente para chegar ao local de destino.
II. O condutor deverá, a todo momento, ter domínio de seu veículo, dirigindo-o com atenção e cuidados indispensáveis à segurança do trânsito.
III. Quando veículos, transitando por fluxos que se cruzem, se aproximarem de local não sinalizado, terá preferência de passagem, no caso de apenas um fluxo ser proveniente de rodovia, aquele que estiver a esquerda do condutor.
Está correto o que se afirma em:
Provas
Disciplina: Direito Processual Penal
Banca: FUNCERN
Orgão: Pref. Parnamirim-RN
Considerando as determinações legais do Código de Processo Penal (Decreto-Lei nº. 3.689/1941) sobre a prisão em flagrante, assinale a alternativa correta.
Provas
Disciplina: Direito Processual Penal
Banca: FUNCERN
Orgão: Pref. Parnamirim-RN
A testemunha fará, sob palavra de honra, a promessa de dizer a verdade do que souber e for perguntado, devendo declarar seu nome, sua idade, seu estado e sua residência, sua profissão, lugar onde exerce sua atividade, se é parente, e em que grau, de alguma das partes, ou quais suas relações com qualquer delas, e relatar o que souber, explicando sempre as razões de sua ciência ou as circunstâncias pelas quais possa avaliar-se de sua credibilidade. Ainda sobre a testemunha, o Código de Processo Penal (Decreto-Lei nº. 3.689/1941) estabelece que
Provas
- Lei 7.210/1984: Lei de Execução PenalDa Execução das Penas em Espécie (arts. 105 ao 170)Das Penas Privativas de Liberdade
Acerca das espécies de penas, o Código Penal (Decreto-Lei nº. 2.848/1940) disciplina que as penas são privativas de liberdade, restritivas de direitos e de multa. Sobre as penas e suas disposições, pode-se afirmar corretamente, com base no texto legal, que
Provas
Caderno Container