Magna Concursos

Foram encontradas 50 questões.

2654969 Ano: 2019
Disciplina: Legislação Municipal
Banca: Consulplan
Orgão: Pref. Pitangueiras-SP
Provas:
Segundo a Lei nº 1.904, de 10 de dezembro de 1997, a vacância em cargo público se dará, EXCETO:
 

Provas

Questão presente nas seguintes provas
2654967 Ano: 2019
Disciplina: Matemática
Banca: Consulplan
Orgão: Pref. Pitangueiras-SP
Uma mercadoria, no dia 5 de fevereiro de 2019, obteve 20% de aumento. No dia 18 de junho deste mesmo ano obteve um novo aumento de 15%. Em 26 de junho de 2019 é vendida, com pagamento em dinheiro, com 10% de desconto. O valor a mais, em porcentagem, pago pelo comprador, em relação ao preço da mercadoria antes do aumento referente ao dia 5 de fevereiro do referido ano, é:
 

Provas

Questão presente nas seguintes provas
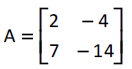
2654966 Ano: 2019
Disciplina: Matemática
Banca: Consulplan
Orgão: Pref. Pitangueiras-SP
Das matrizes relacionadas, a única que possui matriz inversa é:
 

Provas

Questão presente nas seguintes provas
2654965 Ano: 2019
Disciplina: Raciocínio Lógico
Banca: Consulplan
Orgão: Pref. Pitangueiras-SP
Afirmar que “se hoje é quinta-feira, então meu time do coração ganhará de goleada” é equivalente a dizer que:
 

Provas

Questão presente nas seguintes provas
2654964 Ano: 2019
Disciplina: Raciocínio Lógico
Banca: Consulplan
Orgão: Pref. Pitangueiras-SP
Ana, conversando com sua amiga Joana, disse: “não é verdade que Pedro é médico e Joaquim não é jornalista”. Após alguns segundos, Joana concluiu que:
 

Provas

Questão presente nas seguintes provas
2654963 Ano: 2019
Disciplina: Informática
Banca: Consulplan
Orgão: Pref. Pitangueiras-SP
Provas:
Considerando o Windows 7, Configuração Local, Idioma Português-Brasil, no Windows Explorer (Explorador de Arquivos) diferentes modos de exibição de pastas são possíveis. Um deles “mostra uma lista de arquivos e pastas, cada um acompanhado por um pequeno ícone representando o tipo de item e suas propriedades, organizados em formato tabular, com cabeçalhos de coluna”. Trata-se:
 

Provas

Questão presente nas seguintes provas
2654962 Ano: 2019
Disciplina: Informática
Banca: Consulplan
Orgão: Pref. Pitangueiras-SP
Provas:
Considerando a versão do Windows 7, Configuração Local, Idioma Português-Brasil, “projetada especificamente para computadores portáteis, como netbooks e mininotebooks, inclui todos os recursos básicos do Windows 7, mas, eliminando alguns recursos mais chamativos da interface Aero, exige menos memória”. Trata-se de:
 

Provas

Questão presente nas seguintes provas
2654961 Ano: 2019
Disciplina: Informática
Banca: Consulplan
Orgão: Pref. Pitangueiras-SP
Provas:
“Camada de software colocada entre o hardware e os programas que executam tarefas para os usuários, sendo responsável pelo acesso aos periféricos.” Trata-se de:
 

Provas

Questão presente nas seguintes provas
2654960 Ano: 2019
Disciplina: Português
Banca: Consulplan
Orgão: Pref. Pitangueiras-SP
‘Habilidade emocional é o que vai importar no mercado de trabalho’, diz futurologista britânico
O britânico Ian Pearson não foge de uma polêmica. Em 2018, o futurologista ficou em evidência após declarar que em 2050 os humanos vão se tornar imortais, por conta dos avanços na medicina e na tecnologia de tratamento de doenças hoje incuráveis. Sobre o futuro do trabalho, Pearson acredita que a automação e a inteligência artificial vão tornar as funções dos humanos mais focadas em situações que envolvam um alto grau de inteligência emocional. “Pode ser que nosso trabalho seja tomar uma cerveja com um amigo e saber como ele está. Talvez o Estado até nos pague para isso”, afirma.
Formado em física e matemática, Pearson trabalhou como futurólogo da empresa de telecomunicações britânica BT Group de 1991 a 2007, quando fundou sua empresa de consultoria, a Futurizon. Ele calcula que a taxa de acerto nas suas previsões seja de 85%. Veja se você concorda com ele, na entrevista exclusiva ao EstadãoQR:
Como você vê as relações de trabalho nas próximas décadas?
O que todo mundo prevê, e eu concordo, é que a automação vai resultar em funções com um foco maior em habilidades emocionais e sociais e ir acabando gradualmente com tarefas repetitivas. Um fenômeno que vai crescer é o chamado “cobots”, o trabalho colaborativo de humanos com robôs. Enquanto uma máquina inteligente ou uma inteligência artificial faz as partes chatas de um trabalho, o humano vai ter mais tempo para se aprimorar e concentrar esforços nas tarefas que realmente importam no seu emprego. A não ser que aconteça uma inovação sem precedentes, acho que pelos próximos 10 a 20 anos a inteligência artificial não vai conseguir realizar essas tarefas que exigem habilidades essencialmente humanas. No médio prazo, vejo os humanos saindo das funções que exigem um QI elevado para as que necessitam de QE, um quociente emocional, mais apurado.
Essas mudanças no trabalho, mesmo com foco em inteligência emocional, vão causar desemprego?
Eu comparo essa situação com caixas eletrônicos de bancos. Quando os primeiros surgiram, muitas pessoas ficaram receosas e continuaram usando os caixas com funcionários, mas hoje as pessoas pouco frequentam um banco. Vai chegar um ponto em que as pessoas vão preferir a rapidez de uma máquina a um humano e o mercado de trabalho vai se adaptar. Eu não sou um daqueles apocalípticos que acha que a inteligência artificial vai acabar com empregos, porque em um primeiro momento você vai precisar de pessoas supervisionando a máquina e o aumento de produtividade por conta dessa automação vai causar uma expansão e, com isso, mais postos de trabalho.
Como assim expansão de empregos?
No Reino Unido isso acontece, e tenho certeza que aí no Brasil também, de pessoas que trabalham com uma espécie de hobby como forma de ganhar um dinheiro a mais no fim do mês. Eu tenho uma amiga na área de software que nas horas vagas faz bolos de casamento, mas isso não chega a ser um negócio por conta de toda a burocracia que envolve abrir e gerenciar uma empresa. Com a inteligência artificial cuidando dessa parte operacional e um sistema automatizado de entregas, via drones, por exemplo, ela poderia profissionalizar esse hobby e ganhar mais dinheiro, talvez até contratar alguém para ajudá-la. Por isso que não vejo com pessimismo a automação: ela vai garantir mais autonomia para as pessoas realizarem tarefas que hoje elas não têm tempo por conta das funções repetitivas no dia a dia.
Quais habilidades serão essenciais para o trabalhador do futuro não perder seu emprego?
Empregos que hoje envolvem um alto nível de inteligência emocional, como o de enfermeira, que exige um contato humano de zelo e acolhimento, não vão sumir. Isso é engraçado porque alguns médicos, principalmente os da área diagnóstica e alguns cirurgiões, vão acabar ficando sem função com a automação, mas enfermeiras, que recebem menos da metade do salário e não têm glamour como eles, vão continuar empregadas. Por mais avançada que uma máquina ou inteligência artificial seja, essas funções que exigem um contato humano são insubstituíveis. O que é importante salientar é que ninguém é contratado porque sabe apertar teclas de um computador muito bem e sim o que ele, como pessoa, traz para o ambiente de trabalho. Então, hoje se um gerente tem funções operacionais, ele será mantido em seu emprego como alguém que vai elevar a produtividade do setor e checar a parte humana, se os colegas de trabalho estão bem e se precisam de alguma coisa.
Quais empregos vão surgir?
Uma das funções que mais vemos crescer atualmente são relacionadas de alguma forma a coaching, ensinar outras pessoas habilidades que elas não sabem ou precisam de um aprimoramento. Com mais tempo livre por conta da automação, vamos ter de aprender novas coisas e há uma categoria profissional se especializando nisso. Não se trata apenas de ensinar novas habilidades, mas também aprimorar relações interpessoais e se tornar um líder melhor. O que nós entendemos como trabalho está mudando. Pode ser que lá em 2050, quando os computadores ocuparem a maioria das funções que desempenhamos hoje, nosso trabalho seja tomar uma cerveja com um amigo e ver como ele está emocionalmente. Talvez o Estado nos pague para isso.
(Disponível em: https://arte.estadao.com.br/focas/estadaoqr/materia/habilidadeemo cional-e-o-que-vai-importar-no-mercado-de-trabalho-diz-futurologistabritanico. Fragmento. Felipe Laurence e Iander Porcella. 11/07/2019.)
De acordo com a regência verbal estabelecida pelo verbo “preferir” em “Vai chegar um ponto em que as pessoas vão preferir a rapidez de uma máquina a um humano e o mercado de trabalho vai se adaptar.” (4º§), pode-se afirmar que a mesma relação com complementos verbais pode ser vista em:
 

Provas

Questão presente nas seguintes provas
2654959 Ano: 2019
Disciplina: Português
Banca: Consulplan
Orgão: Pref. Pitangueiras-SP
‘Habilidade emocional é o que vai importar no mercado de trabalho’, diz futurologista britânico
O britânico Ian Pearson não foge de uma polêmica. Em 2018, o futurologista ficou em evidência após declarar que em 2050 os humanos vão se tornar imortais, por conta dos avanços na medicina e na tecnologia de tratamento de doenças hoje incuráveis. Sobre o futuro do trabalho, Pearson acredita que a automação e a inteligência artificial vão tornar as funções dos humanos mais focadas em situações que envolvam um alto grau de inteligência emocional. “Pode ser que nosso trabalho seja tomar uma cerveja com um amigo e saber como ele está. Talvez o Estado até nos pague para isso”, afirma.
Formado em física e matemática, Pearson trabalhou como futurólogo da empresa de telecomunicações britânica BT Group de 1991 a 2007, quando fundou sua empresa de consultoria, a Futurizon. Ele calcula que a taxa de acerto nas suas previsões seja de 85%. Veja se você concorda com ele, na entrevista exclusiva ao EstadãoQR:
Como você vê as relações de trabalho nas próximas décadas?
O que todo mundo prevê, e eu concordo, é que a automação vai resultar em funções com um foco maior em habilidades emocionais e sociais e ir acabando gradualmente com tarefas repetitivas. Um fenômeno que vai crescer é o chamado “cobots”, o trabalho colaborativo de humanos com robôs. Enquanto uma máquina inteligente ou uma inteligência artificial faz as partes chatas de um trabalho, o humano vai ter mais tempo para se aprimorar e concentrar esforços nas tarefas que realmente importam no seu emprego. A não ser que aconteça uma inovação sem precedentes, acho que pelos próximos 10 a 20 anos a inteligência artificial não vai conseguir realizar essas tarefas que exigem habilidades essencialmente humanas. No médio prazo, vejo os humanos saindo das funções que exigem um QI elevado para as que necessitam de QE, um quociente emocional, mais apurado.
Essas mudanças no trabalho, mesmo com foco em inteligência emocional, vão causar desemprego?
Eu comparo essa situação com caixas eletrônicos de bancos. Quando os primeiros surgiram, muitas pessoas ficaram receosas e continuaram usando os caixas com funcionários, mas hoje as pessoas pouco frequentam um banco. Vai chegar um ponto em que as pessoas vão preferir a rapidez de uma máquina a um humano e o mercado de trabalho vai se adaptar. Eu não sou um daqueles apocalípticos que acha que a inteligência artificial vai acabar com empregos, porque em um primeiro momento você vai precisar de pessoas supervisionando a máquina e o aumento de produtividade por conta dessa automação vai causar uma expansão e, com isso, mais postos de trabalho.
Como assim expansão de empregos?
No Reino Unido isso acontece, e tenho certeza que aí no Brasil também, de pessoas que trabalham com uma espécie de hobby como forma de ganhar um dinheiro a mais no fim do mês. Eu tenho uma amiga na área de software que nas horas vagas faz bolos de casamento, mas isso não chega a ser um negócio por conta de toda a burocracia que envolve abrir e gerenciar uma empresa. Com a inteligência artificial cuidando dessa parte operacional e um sistema automatizado de entregas, via drones, por exemplo, ela poderia profissionalizar esse hobby e ganhar mais dinheiro, talvez até contratar alguém para ajudá-la. Por isso que não vejo com pessimismo a automação: ela vai garantir mais autonomia para as pessoas realizarem tarefas que hoje elas não têm tempo por conta das funções repetitivas no dia a dia.
Quais habilidades serão essenciais para o trabalhador do futuro não perder seu emprego?
Empregos que hoje envolvem um alto nível de inteligência emocional, como o de enfermeira, que exige um contato humano de zelo e acolhimento, não vão sumir. Isso é engraçado porque alguns médicos, principalmente os da área diagnóstica e alguns cirurgiões, vão acabar ficando sem função com a automação, mas enfermeiras, que recebem menos da metade do salário e não têm glamour como eles, vão continuar empregadas. Por mais avançada que uma máquina ou inteligência artificial seja, essas funções que exigem um contato humano são insubstituíveis. O que é importante salientar é que ninguém é contratado porque sabe apertar teclas de um computador muito bem e sim o que ele, como pessoa, traz para o ambiente de trabalho. Então, hoje se um gerente tem funções operacionais, ele será mantido em seu emprego como alguém que vai elevar a produtividade do setor e checar a parte humana, se os colegas de trabalho estão bem e se precisam de alguma coisa.
Quais empregos vão surgir?
Uma das funções que mais vemos crescer atualmente são relacionadas de alguma forma a coaching, ensinar outras pessoas habilidades que elas não sabem ou precisam de um aprimoramento. Com mais tempo livre por conta da automação, vamos ter de aprender novas coisas e há uma categoria profissional se especializando nisso. Não se trata apenas de ensinar novas habilidades, mas também aprimorar relações interpessoais e se tornar um líder melhor. O que nós entendemos como trabalho está mudando. Pode ser que lá em 2050, quando os computadores ocuparem a maioria das funções que desempenhamos hoje, nosso trabalho seja tomar uma cerveja com um amigo e ver como ele está emocionalmente. Talvez o Estado nos pague para isso.
(Disponível em: https://arte.estadao.com.br/focas/estadaoqr/materia/habilidadeemo cional-e-o-que-vai-importar-no-mercado-de-trabalho-diz-futurologistabritanico. Fragmento. Felipe Laurence e Iander Porcella. 11/07/2019.)
Indique a seguir a alternativa em que a alteração sugerida para o trecho transcrito do texto mantém a correção gramatical e semântica.
 

Provas

Questão presente nas seguintes provas