Foram encontradas 218 questões.
Provas
Provas
Provas
Provas
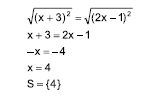
Um professor do 9º o ano pediu que seus alunos resolvessem a equação (x + 3)2 = (2x – 1)2 . Um dos alunos resolveu o problema da seguinte forma:

Com relação à resolução feita pelo aluno, é correto afirmar que ele encontrou
Provas
O desenho de uma cadeira será reduzido à terça parte dos seus comprimentos. A figura indica o início do processo de redução, com
sendo transformado em
, que é um segmento com a terça parte do comprimento do segmento de
.

Depois de feita a redução, a área do assento da cadeira inicialmente desenhada será igual a área do assento da nova cadeira desenhada multiplicada por
Provas

Desconsiderando o dia dessa semana em que a piscina esteve fechada, a diferença entre a média aritmética diária e a mediana do número de frequentadores da piscina nessa semana foi igual a
Provas
e
, e o triângulo MNP é equilátero.
O perímetro do polígono ABCMPN (indicado em linha
mais grossa na figura), em centímetros, é igual a Provas
Uma escada foi apoiada no ponto A de uma estante, de modo que seu pé encontra-se a 1,5 m da estante, conforme mostra a figura.

O comprimento, em metros, dessa escada, é
Provas
Em um prisma reto de base quadrada com 4 cm de aresta e 9 cm de altura, foram colocados 100 cm³ de líquido, conforme mostra a figura.

A altura h, em cm, é
Provas
Caderno Container