Foram encontradas 135 questões.
A norma ISO/IEC 27.005 tem por objetivo
Provas
Uma empresa estava com seus processos de TI desorganizados e buscava uma forma de aprimorar a sua governança de TI. Uma consultoria foi contratada e a recomendação foi a de utilizar uma metodologia criada pelo Information System Audit and Control Association (ISACA), a partir de ferramentas de auditoria, que funcionam como uma espécie de guia para a gestão da TI, priorizando esforços e recursos de TI para atender os requisitos de negócio.
Assinale a opção que indica a metodologia recomendada.
Provas
O framework COBIT trabalha com níveis de maturidade. Assinale a opção que indica o nível de maturidade que está associado à padronização, à documentação e à comunicação dos processos.
Provas
Assinale a opção que indica uma característica surgida no ITIL v3.
Provas
- CMMI: Capability Maturity Model IntegrationCMMI v1.3
- CMMI: Capability Maturity Model IntegrationCMMI v2.0
- CMMI: Capability Maturity Model IntegrationCMMI-DEV v1.3
- CMMI: Capability Maturity Model IntegrationCMMI-DEV v2.0
Segundo o CMMI, uma empresa que conhece bem os problemas da organização e deseja tornar alguns processos mais maduros, com base em níveis de capacidade, deve utilizar a representação
Provas
Os quadros a seguir mostram, da esquerda para a direita, os estados que um vetor com quatro elementos assume durante um processo de ordenação.
![]()
O algoritmo de ordenação aqui utilizado é conhecido como
Provas
A expressão lógica
not (X and Y)
é sempre equivalente a
Provas
Na análise de riscos ligados aos processos e instalações de TI, a identificação de riscos tem, como principais insumos, a avaliação de
Provas
Em uma obra de pavimentação rodoviária, o material para a base do pavimento está sendo obtido em quatro jazidas, localizadas a diferentes distâncias do centro da obra.
A esse respeito, analise a tabela a seguir.
| Jazida |
Quantidade de material (m3) |
Distância média (km) |
| J1 | 5.200 | 4 |
| J2 | 2.600 | 6 |
| J3 | 2.600 | 5 |
| J4 | 3.900 | 2 |
Considerando esses dados, assinale a opção que indica o valor da distância média de transporte.
Provas
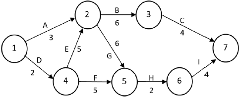
Na rede PERT/CPM a seguir, as setas das letras (A até I) representam as atividades, e os números mostram a duração em dias corridos da atividade. Já os círculos mostram as incidências de início e término das atividades.

Para essa rede, a última data de término (UDT) da atividade F é
Provas
Caderno Container