Foram encontradas 387 questões.
Provas
Provas
Provas
- Clínica MédicaClínica Médica para Equinos
- Defesa SanitáriaPatologias em Defesa Sanitária
- Saúde PúblicaDoenças Infecciosas
A anemia infecciosa equina (AIE) é uma doença infecciosa, provocada por vírus que acomete os equinos, é transmitido por meio do sangue de um animal infectado, através da picada de insetos hematófagos ou por agulhas, arreios, leite, placenta (transmissão congênita), sêmen (acasalamento) e pelo soro imune. Atribua abaixo, V para os itens Verdadeiros e F para os itens Falsos:
I. A doença é transmitida por meio do sangue de um animal infectado, pela picada de insetos hematófagos ou por objetos perfurocortantes contaminados. A transmissão congênita não existe. ( )
II. A anemia não tem cura. Uma vez o animal infectado, torna-se portador permanente, podendo apresentar ou não os sinais da doença (forma aguda, crônica), constituindo-se numa fonte de infecção, para outros equinos. ( )
III. É uma doença bacteriana e que pode atingir todas as raças e idades dos equídeos, sendo os animais mais suscetíveis os subnutridos e parasitados. ( )
IV. Na forma crônica observa-se ataque com intervalos variáveis de dias, semanas ou meses. Quando o intervalo é curto, em geral a morte sobrevém depois de algumas semanas. ( )
A sequência CORRETA é:
Provas
Provas
Provas
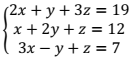
O valor de x no
sistema linear a
seguir é: 
Fonte: www.gigaconteudo.com
Provas
Provas
O mapa abaixo tem de escala 1/400 000 . A distância entre as cidades A e B é de 12 cm, logo a distância real entre essas duas cidades é:

Fonte: www.gigaconteudo.com
Provas
Provas
Caderno Container