Foram encontradas 465 questões.
Observe a charge a seguir:

Fonte: https://br.pinterest.com/pin/535998793183348677/. Acesso em 27/10/2025.
Marque a alternativa que condiz à interpretação correta da temática que envolve a charge:
Provas
Questão presente nas seguintes provas
3961960
Ano: 2025
Disciplina: Matemática Financeira
Banca: Ápice
Orgão: Pref. Riachão Bacamarte-PB
Disciplina: Matemática Financeira
Banca: Ápice
Orgão: Pref. Riachão Bacamarte-PB
Provas:
Um investidor aplicou um capital C a juros
simples à taxa anual de r% por t anos. Sabe-se
que se ele aplicasse o triplo do capital, à mesma
taxa, por 4 anos a menos, então o juro obtido seria
o dobro do juro original. Com base nessas
informações, determine o tempo t.
Provas
Questão presente nas seguintes provas
Se α2 + b2 = 4 e αb = 2, determine o valor de α + b.
Provas
Questão presente nas seguintes provas
Um reservatório de água estava inicialmente
com 5/8 de sua capacidade total. Durante um
período de estiagem, perdeu 12,5% do volume
que havia no reservatório. Depois disso, foram
adicionados 250 litros, passando a conter
exatamente 70% da capacidade total. Qual é a
capacidade total do reservatório, em litros?
Provas
Questão presente nas seguintes provas
Dois ângulos A e B são opostos pelo vértice. A
medida α do ângulo A é definida por α = 3x + 12
e B é complementar a um ângulo de medida 2x +
18. Determine o valor de x.
Provas
Questão presente nas seguintes provas
A medida de um ângulo x é definida pela
expressão algébrica x = 5α − 12. Sabendo que o
ângulo suplementar de x mede 140°, determine a
medida de α, em graus.
Provas
Questão presente nas seguintes provas
Considere os números a seguir: A = 3/4, B =
12/16 e
Sobre esses números,
assinale a alternativa correta:
Provas
Questão presente nas seguintes provas
Marque a opção que apresenta corretamente a solução da equação
![]()
Provas
Questão presente nas seguintes provas
Sobre assuntos diversos, analise as
afirmativas a seguir e marque (V) para as
verdadeiras e (F) para as falsas.
( ) Dados dois ângulos complementares α e β, se α mede 75°, então β mede obrigatoriamente 105°.
( ) Todos os divisores do número 36 são 1,2,3,4,6,9,12 e 18. Além disso, o mínimo múltiplo comum de 2 e 10 é 10.
( ) O máximo divisor comum entre 15 e 9 é 3.
( ) Sabe-se que 1 metro equivale a 100 centímetros. Então 1 metro cúbico equivale a um milhão de centímetros cúbicos, ou seja, 1 m3 = 106 cm3 .
( ) A equação 3αx = 3 não admite solução se α = 0.
Assinale a alternativa que apresenta a sequência correta:
( ) Dados dois ângulos complementares α e β, se α mede 75°, então β mede obrigatoriamente 105°.
( ) Todos os divisores do número 36 são 1,2,3,4,6,9,12 e 18. Além disso, o mínimo múltiplo comum de 2 e 10 é 10.
( ) O máximo divisor comum entre 15 e 9 é 3.
( ) Sabe-se que 1 metro equivale a 100 centímetros. Então 1 metro cúbico equivale a um milhão de centímetros cúbicos, ou seja, 1 m3 = 106 cm3 .
( ) A equação 3αx = 3 não admite solução se α = 0.
Assinale a alternativa que apresenta a sequência correta:
Provas
Questão presente nas seguintes provas
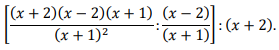
Simplifique a seguinte expressão, em que x ≠ -1, x ≠ -2 e x ≠ 2:

Assinale a alternativa que corresponde à simplificação correta.
Provas
Questão presente nas seguintes provas
Cadernos
Caderno Container