Foram encontradas 922 questões.
938479
Ano: 2016
Disciplina: Ética e Regulação Profissional
Banca: UFMT
Orgão: Pref. Rondonópolis-MT
Disciplina: Ética e Regulação Profissional
Banca: UFMT
Orgão: Pref. Rondonópolis-MT
Segundo o Código de Ética Profissional do Psicólogo, sobre os deveres do Psicólogo, analise:
I - Realizar atendimento não eventual de criança, adolescente ou interdito, obtendo para isso autorização de ao menos um de seus responsáveis, e, no caso de não se apresentar um responsável legal, o atendimento deverá ser efetuado e comunicado às autoridades competentes.
II - Induzir a convicções políticas, filosóficas, morais, ideológicas, religiosas, de orientação sexual ou a qualquer tipo de preconceito, quando do exercício de suas funções profissionais.
III - Levar ao conhecimento das instâncias competentes o exercício ilegal ou irregular da profissão, transgressões a princípios e diretrizes do Código ou da legislação profissional.
São deveres do Psicólogo:
Provas
Questão presente nas seguintes provas
De acordo com a Lei Complementar n.º 140, de 8 de dezembro de 2011, sobre objetivos fundamentais da proteção das paisagens naturais notáveis, da proteção do meio ambiente, do combate à poluição em qualquer de suas formas e à preservação das florestas, da fauna e da flora, considere:
I - Proteger, defender e conservar o meio ambiente ecologicamente equilibrado, promovendo gestão centralizada da União.
II - Garantir o equilíbrio do desenvolvimento socioeconômico com a proteção do meio ambiente, observando a dignidade da pessoa humana, a erradicação da pobreza e a redução das desigualdades sociais e regionais.
III - Harmonizar as políticas e ações administrativas para evitar a sobreposição de atuação entre os entes federativos e conflitos de atribuições.
IV - Garantir a uniformidade da política ambiental para todo o País, respeitadas as peculiaridades regionais e locais.
São objetivos fundamentais:
Provas
Questão presente nas seguintes provas
O Sistema de Prevenção e Combate aos incêndios florestais contempla ações para prevenir ou evitar o início do fogo, impedir ou dificultar a sua propagação e combater e extinguir eficientemente aqueles incêndios não evitados. Sobre esse sistema, analise as afirmativas.
I - A ocorrência e a propagação de incêndios florestais são efetuadas com alterações das características que favorecem a combustão, como a quantidade, a umidade, a continuidade e a compactação.
II - A modificação da estrutura do material combustível, associada ao melhoramento da produção e à qualidade do ambiente, é denominada silvicultura preventiva.
III - Em relação ao material combustível, são técnicas utilizadas na silvicultura preventiva: a fragmentação, a compactação, a eliminação e o translado.
Está correto o que se afirma em
Provas
Questão presente nas seguintes provas
938437
Ano: 2016
Disciplina: TI - Desenvolvimento de Sistemas
Banca: UFMT
Orgão: Pref. Rondonópolis-MT
Disciplina: TI - Desenvolvimento de Sistemas
Banca: UFMT
Orgão: Pref. Rondonópolis-MT
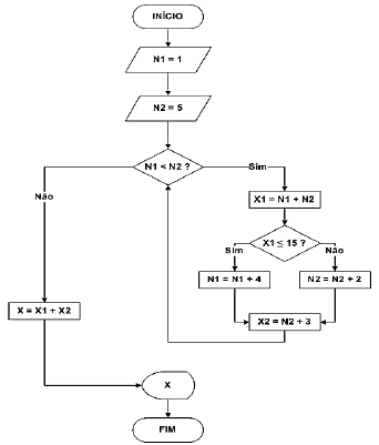
Analise o fluxograma apresentado na figura abaixo.

Qual o valor de x após a execução do fluxograma?
Provas
Questão presente nas seguintes provas
A distorção da imagem do coração com ampliação do mesmo em estudo radiológico convencional do tórax NÃO ocorre na incidência em PA
Provas
Questão presente nas seguintes provas
Em acidentes com material biológico, no serviço de radiodiagnóstico, qual a conduta preconizada?
Provas
Questão presente nas seguintes provas
A chamada regulação keynesiana da economia, uma das estratégias de reversão da crise do capitalismo no segundo pós-guerra, teve no Estado um pilar fundamental. Uma das medidas do Estado keynesiano foi:
Provas
Questão presente nas seguintes provas
Observe o trecho de uma planilha abaixo do LibreOffice Calc, versão 4.4.5.2, cuja coluna A foi selecionada.

Depois de selecionar a coluna A, o usuário clicou no botão
do LibreOffice Calc. Assinale a alternativa que mostra a alteração ocorrida na planilha, após o usuário clicar nesse botão.
do LibreOffice Calc. Assinale a alternativa que mostra a alteração ocorrida na planilha, após o usuário clicar nesse botão.Provas
Questão presente nas seguintes provas
Sobre anemias e suas causas, numere a coluna da direita de acordo com a da esquerda.
1 - Anemia microcítica.
2 - Anemia normocítica.
3 - Anemia macrocítica.
( ) Anemia das doenças crônicas
( ) Anemia por deficiência de vitamina B12
( ) Anemia ferropênica
( ) Talassemias
( ) Anemia das hepatopatias crônicas
Assinale a sequência correta.
Provas
Questão presente nas seguintes provas
Considerando como referência a seção de 2,0 m para efetuar a cubagem de toda a tora pelo método de Huber e pelo método de Smalian, é correto afirmar:
Provas
Questão presente nas seguintes provas
Cadernos
Caderno Container