Foram encontradas 342 questões.
- Hidráulica e HidrologiaHidráulica na Engenharia Civil
- Projeto e Execução de Rodovias e FerroviasDrenagem
Utilizando o método racional, determine a vazão no exutório dessa bacia, sabendo que a mesma oi causada por uma precipitação uniforme de 60 mm/h.
Provas
A figura a seguir mostra as cotas, relacionadas a um Datum local, de alguns pontos do projeto de uma estação de bombeamento.

Sabendo que as perdas na sucção são de 0,6 m e que as perdas no recalque são de 2,2 m, a altura manométrica total, em m, para dimensionamento da bomba é de
Provas
A figura a seguir mostra uma tubulação horizontal, rigidamente fixada em todo seu comprimento, que possui uma contração de um diâmetro de 0,4 m para um diâmetro de 0,1 m. Nas laterais da tubulação foram colocados pistões e o espaço entre eles foi preenchido com água.

Desprezando o atrito, o valor da força F1 a ser aplicada ao pistão da tubulação mais larga, com o objetivo de equilibrar uma força F2 de 80 N aplicada ao pistão mais estreito, é de
Provas
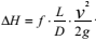
Em uma tubulação de diâmetro D = 400 mm, a água escoa em regime permanente por uma extensão L de 500 m, ligando um ponto M, com cota topográfica de 85 m, no qual a pressão interna no líquido é de 294 kN/m2, a um ponto N, com cota topográfica de 70 m, no qual a pressão interna no líquido é de 343 kN/m2.
Dados: gravidade=9,8 m/s2;
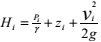
Bernoulli:
; onde: Hi é a carga hidráulica no ponto i, Pi é a pressão no ponto i, zi é a cota topográfica do ponto
i e Vi é a velocidade do fluido no ponto i;
Equação Universal: 
Sabendo que o peso específico da água é de 9,8 kN/m3 e que a vazão é de 0,13823 m3/s, assinale a opção que indica o fator de atrito da tubulação.
Provas
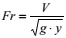
Inicialmente é estabelecido um movimento uniforme com altura de lâmina de água H = 0,90 m. Posteriormente, é colocada no canal uma comporta que define, à sua montante, uma altura de água superior a H e, à sua jusante, um escoamento bem raso, com altura inferior a H.
Dados:
Equação de Manning:
, onde: A é a área
molhada, Rh é o raio hidráulico e So é a declividade. Equação de Froude:
, onde: V é a velocidade, g = 9,81 é a gravidade e y é a profundidade hidráulica. Os regimes de escoamento antes da colocação da comporta e imediatamente à jusante da comporta, após a colocação desta, são, respectivamente,
Provas
Um viga biengastada de 10 m de vão suporta em equilíbrio uma carga triangular, cujo valor cresce de zero no apoio da esquerda até 6 kN/m no apoio da direita.
Sabendo que a viga possui seção reta constante, o valor do momento fletor em módulo no apoio da direira é, em kNm, igual a
Provas
- Estruturas
- Geotecnia
- Resistência dos Materiais e Análise EstruturalEstruturas de Concreto
- Escavações e Contenções
A cortina de concreto armado de uma ponte de 2 m de altura e 10 m de comprimento foi projetada para suportar um solo de coesão nula, ângulo de atrito igual a 30° e peso específico de 18 kN/m3.
O valor da força resultante do empuxo de terra sobre a área da cortina é, em kN, igual a
Provas
Provas
Provas
O coeficiente de permeabilidade de uma amostra de areia fina é igual a 10-5 m/s, que foi obtido com o uso de um permeâmetro de carga constante. Foram utilizados um reservatório superior com água e um reservatório inferior com a amostra de areia. O tempo do ensaio durou 10 min e consumiu 6 L de água.
Sabendo que a área da seção transversal e o comprimento medido no sentido do fluxo de água da amostra de areia foram 4000 cm2 e 20 cm, respectivamente, a diferença do nível entre os reservatórios superior e inferior, em cm, é igual a
Provas
Caderno Container