Foram encontradas 300 questões.
3120954
Ano: 2024
Disciplina: Matemática Financeira
Banca: FUNDATEC
Orgão: Pref. Santo Augusto-RS
Disciplina: Matemática Financeira
Banca: FUNDATEC
Orgão: Pref. Santo Augusto-RS
Provas:
Um capital de R$ 24.000,00 foi investido por 6 meses, a juros simples, e o rendimento
total ao final da aplicação foi de R$ 1.080,00. Nessas condições, qual foi a taxa de juros aplicada?
Provas
Questão presente nas seguintes provas
Procurando incentivar a leitura entre seus alunos, um professor recomendou, aos 40
alunos de uma turma, a leitura de 6 livros ao longo do ano. A tabela mostra que a maioria dos alunos
não cumpriu a meta proposta pelo professor. Entretanto, o número médio de livros lidos por alunos
nesse ano foi de:


Provas
Questão presente nas seguintes provas
Assinale a alternativa que indica o quadrado da soma das raízes da equação abaixo:
x² + x - 42 = 0
x² + x - 42 = 0
Provas
Questão presente nas seguintes provas
Uma pequena indústria de peças tem um custo fixo de produção de R$ 6.700,00 mais
um custo variável de R$ 21,50 por peça produzida. A função que fornece o custo total de produção de
x peças é de:
Provas
Questão presente nas seguintes provas
Dona Marlene tem problemas com pressão alta, e toma duas caixas de um
medicamento a cada 45 dias. Em um ano de tratamento, dona Marlene consumiu aproximadamente:
Provas
Questão presente nas seguintes provas
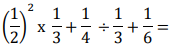
O resultado da expressão numérica abaixo é:
![]()
Provas
Questão presente nas seguintes provas
A jornada de trabalho de Rui é de 44 horas semanais, de segunda à sexta-feira. Na
última semana, para colocar algumas pendências em dia, Rui ficou, todos os dias, 15 minutos além
de seu horário. O tempo total de trabalho de Rui, na última semana, foi de:
Provas
Questão presente nas seguintes provas
A forma correta da leitura do número 4/17 é:
Provas
Questão presente nas seguintes provas
Segundo os critérios de divisibilidade, qual dos números abaixo é divisível por 5?
Provas
Questão presente nas seguintes provas
Alice está construindo sua casa, que terá dois banheiros. Na lista de materiais a
serem adquiridos, o encanador solicitou 10,5 m de tubos para o banheiro da suíte e 8,7 m de tubos
para o encanamento do banheiro social, além de diversas conexões. Quantos metros de tubo são
suficientes para a obra de Alice?
Provas
Questão presente nas seguintes provas
Cadernos
Caderno Container