Foram encontradas 50 questões.
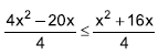
Ao resolver a inequação
apresentou os seguintes passos:
Passo 1) 4x2 – 20x ≤ x2 + 16x
Passo 2) x · (4x – 20) ≤ x · (x + 16)
Passo 3) 4x – 20 ≤ x + 16
Passo 4) 3x ≤ 36
Resposta: x ≤ 12
Avaliando-se o procedimento apresentado pelo aluno, é correto afirmar que existe erro na passagem do
Provas

É correto afirmar que
Provas
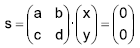
Considere o sistema linear S, representado da seguinte forma matricial:

Provas

Com base nas informações apresentadas, assinale a alternativa que contém uma informação necessariamente verdadeira.
Provas

Escolhendo-se, aleatoriamente, uma dessas provas, a probabilidade de a prova escolhida ter uma quantidade de 3 ou mais acertos é de:
Provas
Faz alguns anos que um grupo de amigos se reúne comigo para ler poesia. Numa dessas reuniões nos deparamos com esta afirmação de Gandhi: “Eu nunca acreditei que a sobrevivência fosse um valor último. A vida, para ser bela, deve estar cercada de vontade, de bondade e de liberdade. Essas são coisas pelas quais vale a pena morrer”. Essas palavras provocaram um silêncio meditativo, até que um dos membros do grupo, que se chama Canoeiros, sugeriu que fizéssemos um exercício espiritual. Um joguinho de “faz de conta”. “Vamos fazer de conta que sabemos que temos apenas um ano a mais de vida. Como é que viveremos sabendo que o tempo é curto?”
A consciência da morte nos dá uma maravilhosa lucidez. D. Juan, o bruxo do livro de Carlos Castañeda, Viagem a Ixtlan, advertia seu discípulo: “Essa bem pode ser a sua última batalha sobre a terra”. Sim, bem pode ser. Somente os tolos pensam de outra forma. E se ela pode ser a última batalha, que seja uma batalha que valha a pena. E, com isso, nos libertamos de uma infinidade de coisas ptolas e mesquinhas que permitimos se aninhem em nossos pensamentos e coração. Resta então a pergunta: “O que é o essencial?”. Um conhecido meu, ao saber que tinha um câncer no cérebro e que lhe restavam não mais que seis meses de vida, começou uma vida nova. As etiquetas sociais não mais faziam sentido. Passou a receber somente as pessoas que desejava receber, os amigos, com quem podia compartilhar seus sentimentos. Eliot se refere a um tempo em que ficamos livres da compulsão prática – fazer, fazer, fazer. Não havia mais nada a fazer. Era hora de se entregar inteiramente ao deleite da vida: ver os cenários que ele amava, ouvir as músicas que lhe davam prazer, ler os textos antigos que o haviam alimentado.
O fato é que, sem que o saibamos, todos nós estamos enfermos de morte e é preciso viver a vida com sabedoria para que ela, a vida, não seja estragada pela loucura que nos cerca.
(Rubem Alves. Variações sobre o prazer: Santo Agostinho, Nietzsche, Marx e Babette. São Paulo, Editora Planeta do Brasil, 2011. Adaptado)
Provas
Faz alguns anos que um grupo de amigos se reúne comigo para ler poesia. Numa dessas reuniões nos deparamos com esta afirmação de Gandhi: “Eu nunca acreditei que a sobrevivência fosse um valor último. A vida, para ser bela, deve estar cercada de vontade, de bondade e de liberdade. Essas são coisas pelas quais vale a pena morrer”. Essas palavras provocaram um silêncio meditativo, até que um dos membros do grupo, que se chama Canoeiros, sugeriu que fizéssemos um exercício espiritual. Um joguinho de “faz de conta”. “Vamos fazer de conta que sabemos que temos apenas um ano a mais de vida. Como é que viveremos sabendo que o tempo é curto?”
A consciência da morte nos dá uma maravilhosa lucidez. D. Juan, o bruxo do livro de Carlos Castañeda, Viagem a Ixtlan, advertia seu discípulo: “Essa bem pode ser a sua última batalha sobre a terra”. Sim, bem pode ser. Somente os tolos pensam de outra forma. E se ela pode ser a última batalha, que seja uma batalha que valha a pena. E, com isso, nos libertamos de uma infinidade de coisas ptolas e mesquinhas que permitimos se aninhem em nossos pensamentos e coração. Resta então a pergunta: “O que é o essencial?”. Um conhecido meu, ao saber que tinha um câncer no cérebro e que lhe restavam não mais que seis meses de vida, começou uma vida nova. As etiquetas sociais não mais faziam sentido. Passou a receber somente as pessoas que desejava receber, os amigos, com quem podia compartilhar seus sentimentos. Eliot se refere a um tempo em que ficamos livres da compulsão prática – fazer, fazer, fazer. Não havia mais nada a fazer. Era hora de se entregar inteiramente ao deleite da vida: ver os cenários que ele amava, ouvir as músicas que lhe davam prazer, ler os textos antigos que o haviam alimentado.
O fato é que, sem que o saibamos, todos nós estamos enfermos de morte e é preciso viver a vida com sabedoria para que ela, a vida, não seja estragada pela loucura que nos cerca.
(Rubem Alves. Variações sobre o prazer: Santo Agostinho, Nietzsche, Marx e Babette. São Paulo, Editora Planeta do Brasil, 2011. Adaptado)
Provas
Faz alguns anos que um grupo de amigos se reúne comigo para ler poesia. Numa dessas reuniões nos deparamos com esta afirmação de Gandhi: “Eu nunca acreditei que a sobrevivência fosse um valor último. A vida, para ser bela, deve estar cercada de vontade, de bondade e de liberdade. Essas são coisas pelas quais vale a pena morrer”. Essas palavras provocaram um silêncio meditativo, até que um dos membros do grupo, que se chama Canoeiros, sugeriu que fizéssemos um exercício espiritual. Um joguinho de “faz de conta”. “Vamos fazer de conta que sabemos que temos apenas um ano a mais de vida. Como é que viveremos sabendo que o tempo é curto?”
A consciência da morte nos dá uma maravilhosa lucidez. D. Juan, o bruxo do livro de Carlos Castañeda, Viagem a Ixtlan, advertia seu discípulo: “Essa bem pode ser a sua última batalha sobre a terra”. Sim, bem pode ser. Somente os tolos pensam de outra forma. E se ela pode ser a última batalha, que seja uma batalha que valha a pena. E, com isso, nos libertamos de uma infinidade de coisas ptolas e mesquinhas que permitimos se aninhem em nossos pensamentos e coração. Resta então a pergunta: “O que é o essencial?”. Um conhecido meu, ao saber que tinha um câncer no cérebro e que lhe restavam não mais que seis meses de vida, começou uma vida nova. As etiquetas sociais não mais faziam sentido. Passou a receber somente as pessoas que desejava receber, os amigos, com quem podia compartilhar seus sentimentos. Eliot se refere a um tempo em que ficamos livres da compulsão prática – fazer, fazer, fazer. Não havia mais nada a fazer. Era hora de se entregar inteiramente ao deleite da vida: ver os cenários que ele amava, ouvir as músicas que lhe davam prazer, ler os textos antigos que o haviam alimentado.
O fato é que, sem que o saibamos, todos nós estamos enfermos de morte e é preciso viver a vida com sabedoria para que ela, a vida, não seja estragada pela loucura que nos cerca.
(Rubem Alves. Variações sobre o prazer: Santo Agostinho, Nietzsche, Marx e Babette. São Paulo, Editora Planeta do Brasil, 2011. Adaptado)
Provas
- OrtografiaPontuaçãoDois-pontos
- OrtografiaPontuaçãoVírgula
- SintaxeColocação Pronominal
- SintaxeCrase
- SintaxeConectivos
- MorfologiaPronomes
- SemânticaSinônimos e Antônimos
- Interpretação de Textos
Faz alguns anos que um grupo de amigos se reúne comigo para ler poesia. Numa dessas reuniões nos deparamos com esta afirmação de Gandhi: “Eu nunca acreditei que a sobrevivência fosse um valor último. A vida, para ser bela, deve estar cercada de vontade, de bondade e de liberdade. Essas são coisas pelas quais vale a pena morrer”. Essas palavras provocaram um silêncio meditativo, até que um dos membros do grupo, que se chama Canoeiros, sugeriu que fizéssemos um exercício espiritual. Um joguinho de “faz de conta”. “Vamos fazer de conta que sabemos que temos apenas um ano a mais de vida. Como é que viveremos sabendo que o tempo é curto?”
A consciência da morte nos dá uma maravilhosa lucidez. D. Juan, o bruxo do livro de Carlos Castañeda, Viagem a Ixtlan, advertia seu discípulo: “Essa bem pode ser a sua última batalha sobre a terra”. Sim, bem pode ser. Somente os tolos pensam de outra forma. E se ela pode ser a última batalha, que seja uma batalha que valha a pena. E, com isso, nos libertamos de uma infinidade de coisas ptolas e mesquinhas que permitimos se aninhem em nossos pensamentos e coração. Resta então a pergunta: “O que é o essencial?”. Um conhecido meu, ao saber que tinha um câncer no cérebro e que lhe restavam não mais que seis meses de vida, começou uma vida nova. As etiquetas sociais não mais faziam sentido. Passou a receber somente as pessoas que desejava receber, os amigos, com quem podia compartilhar seus sentimentos. Eliot se refere a um tempo em que ficamos livres da compulsão prática – fazer, fazer, fazer. Não havia mais nada a fazer. Era hora de se entregar inteiramente ao deleite da vida: ver os cenários que ele amava, ouvir as músicas que lhe davam prazer, ler os textos antigos que o haviam alimentado.
O fato é que, sem que o saibamos, todos nós estamos enfermos de morte e é preciso viver a vida com sabedoria para que ela, a vida, não seja estragada pela loucura que nos cerca.
(Rubem Alves. Variações sobre o prazer: Santo Agostinho, Nietzsche, Marx e Babette. São Paulo, Editora Planeta do Brasil, 2011. Adaptado)
Provas
Faz alguns anos que um grupo de amigos se reúne comigo para ler poesia. Numa dessas reuniões nos deparamos com esta afirmação de Gandhi: “Eu nunca acreditei que a sobrevivência fosse um valor último. A vida, para ser bela, deve estar cercada de vontade, de bondade e de liberdade. Essas são coisas pelas quais vale a pena morrer”. Essas palavras provocaram um silêncio meditativo, até que um dos membros do grupo, que se chama Canoeiros, sugeriu que fizéssemos um exercício espiritual. Um joguinho de “faz de conta”. “Vamos fazer de conta que sabemos que temos apenas um ano a mais de vida. Como é que viveremos sabendo que o tempo é curto?”
A consciência da morte nos dá uma maravilhosa lucidez. D. Juan, o bruxo do livro de Carlos Castañeda, Viagem a Ixtlan, advertia seu discípulo: “Essa bem pode ser a sua última batalha sobre a terra”. Sim, bem pode ser. Somente os tolos pensam de outra forma. E se ela pode ser a última batalha, que seja uma batalha que valha a pena. E, com isso, nos libertamos de uma infinidade de coisas ptolas e mesquinhas que permitimos se aninhem em nossos pensamentos e coração. Resta então a pergunta: “O que é o essencial?”. Um conhecido meu, ao saber que tinha um câncer no cérebro e que lhe restavam não mais que seis meses de vida, começou uma vida nova. As etiquetas sociais não mais faziam sentido. Passou a receber somente as pessoas que desejava receber, os amigos, com quem podia compartilhar seus sentimentos. Eliot se refere a um tempo em que ficamos livres da compulsão prática – fazer, fazer, fazer. Não havia mais nada a fazer. Era hora de se entregar inteiramente ao deleite da vida: ver os cenários que ele amava, ouvir as músicas que lhe davam prazer, ler os textos antigos que o haviam alimentado.
O fato é que, sem que o saibamos, todos nós estamos enfermos de morte e é preciso viver a vida com sabedoria para que ela, a vida, não seja estragada pela loucura que nos cerca.
(Rubem Alves. Variações sobre o prazer: Santo Agostinho, Nietzsche, Marx e Babette. São Paulo, Editora Planeta do Brasil, 2011. Adaptado)
Provas
Caderno Container