Magna Concursos

Foram encontradas 220 questões.

4010747 Ano: 2026
Disciplina: Matemática
Banca: Funatec
Orgão: Pref. São José Divino-PI
Em um projeto de otimização de recursos, três setores A, B e C recebem verbas em razão direta ao número de projetos concluídos e em razão inversa ao tempo médio (em meses) de execução desses projetos. Sabe-se que:
• os setores A, B C concluíram, respectivamente, 12, 18 e 24 projetos; • os tempos médios de execução foram, respectivamente, 6, 9 e 4 meses; • o total de verba distribuída foi de R$ 1.140.000,00.

Com base nessas informações, assinale corretamente o valor da verba recebida pelo setor B.
 

Provas

Questão presente nas seguintes provas
4010746 Ano: 2026
Disciplina: Matemática
Banca: Funatec
Orgão: Pref. São José Divino-PI
Em um depósito de materiais, foram armazenadas 60 peças em caixas idênticas. Sabe-se que o número de caixas utilizadas é 4 unidades a menos que a quantidade de peças colocadas em cada caixa. Com base nessas informações, assinale corretamente a quantidade de caixas que foram utilizadas.
 

Provas

Questão presente nas seguintes provas
4010745 Ano: 2026
Disciplina: Matemática
Banca: Funatec
Orgão: Pref. São José Divino-PI
Uma empresa de paisagismo está projetando um canteiro retangular cuja área total deve ser de 45 m². Sabe-se que o comprimento do canteiro mede 4 metros a mais que a largura. Com base nessas informações, assinale a alternativa que apresenta corretamente as dimensões do canteiro.
 

Provas

Questão presente nas seguintes provas
4010744 Ano: 2026
Disciplina: Matemática
Banca: Funatec
Orgão: Pref. São José Divino-PI
Considere A = {x ∈ ℝ | x ≥ −1} e B = {y ∈ ℝ | y ≥ 1}. Seja f: AB definida por:
f(x) = x 2 + 2x + 2.
Assinale a alternativa que apresenta corretamente a função inversa f −1 : B → A.
 

Provas

Questão presente nas seguintes provas
4010743 Ano: 2026
Disciplina: Matemática
Banca: Funatec
Orgão: Pref. São José Divino-PI
Considere A = {x ∈ ℝ | x ≥ 1} e B = {y ∈ ℝ | y ≥ −1}. Seja : AB definida por:
f(x) = x22x.
Assinale a alternativa que apresenta corretamente a função inversa f −1 : B A.
 

Provas

Questão presente nas seguintes provas
4010742 Ano: 2026
Disciplina: Matemática
Banca: Funatec
Orgão: Pref. São José Divino-PI

Considere f: ℝ → ℝ, f(x) =| x− 1 |. Determine o conjunto solução da inequação:

f(x) ≤ 1.

 

Provas

Questão presente nas seguintes provas
4010741 Ano: 2026
Disciplina: Matemática
Banca: Funatec
Orgão: Pref. São José Divino-PI
Considere f: ℝ → ℝ, f(x) =| x− 1 |. Assinale a alternativa correta.
 

Provas

Questão presente nas seguintes provas
4010740 Ano: 2026
Disciplina: Matemática
Banca: Funatec
Orgão: Pref. São José Divino-PI
Considere f: ℝ → ℝ, f(x) =| x− 1 |. Sobre as propriedades de f, assinale a alternativa correta.
 

Provas

Questão presente nas seguintes provas
4010739 Ano: 2026
Disciplina: Matemática
Banca: Funatec
Orgão: Pref. São José Divino-PI
Considere f: ℝ → ℝ, f(x) =| x− 1 |. Assinale a alternativa que descreve corretamente a imagem de f.
 

Provas

Questão presente nas seguintes provas
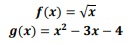
4010738 Ano: 2026
Disciplina: Matemática
Banca: Funatec
Orgão: Pref. São José Divino-PI

Em um sistema de processamento de dados, duas rotinas matemáticas são modeladas pelas funções:

Enunciado 4499248-1

Para garantir que o software execute corretamente as rotinas encadeadas, é necessário identificar os valores de x para os quais as composições fgg ∘ f estão definidas.

Assinale a alternativa que apresenta corretamente os domínios de f ∘ g e de g ∘ f:

 

Provas

Questão presente nas seguintes provas