Foram encontradas 220 questões.
Uma produtora audiovisual planeja lançar uma série
documental e decidiu criar um fundo financeiro para
custear despesas fixas durante o período de edição e
pós-produção. O projeto demandará pagamentos
mensais de R$ 4.500,00 por 24 meses consecutivos,
começando no momento em que a produção for
oficialmente iniciada.
Para garantir esses pagamentos, a produtora pretende aplicar, antecipadamente, um valor X em um investimento que rende juros compostos à taxa de 1,6% ao mês. Essa aplicação será realizada 60 meses antes do primeiro pagamento mensal.
Com base nessas informações, assinale a alternativa que apresenta aproximadamente o valor X que deve ser aplicado para viabilizar integralmente o projeto.
Considere para os cálculos: ( 1, 016) −24 ≈ 0, 6832 ( 1, 016) 60 ≈ 2, 5919
Para garantir esses pagamentos, a produtora pretende aplicar, antecipadamente, um valor X em um investimento que rende juros compostos à taxa de 1,6% ao mês. Essa aplicação será realizada 60 meses antes do primeiro pagamento mensal.
Com base nessas informações, assinale a alternativa que apresenta aproximadamente o valor X que deve ser aplicado para viabilizar integralmente o projeto.
Considere para os cálculos: ( 1, 016) −24 ≈ 0, 6832 ( 1, 016) 60 ≈ 2, 5919
Provas
Questão presente nas seguintes provas
Uma instituição de pesquisa recebeu uma doação
única de R$ 100.000,00 para custear bolsas mensais.
Considerando um cenário sem inflação, o valor foi
depositado em uma aplicação que rende juros
compostos de 0,5% ao mês. A instituição pretende
realizar saques mensais no fim de cada mês, iniciando
1 mês após o depósito, até que o saldo se esgote.
Com base nessas informações, assinale a alternativa que apresenta corretamente a quantidade de meses, aproximadamente, que essa instituição conseguirá sacar R$ 1.000,00 por mês.
(Se necessário, considere −In(0,5) = 0, 6931 e In(1,005) = 0, 004987).
Com base nessas informações, assinale a alternativa que apresenta corretamente a quantidade de meses, aproximadamente, que essa instituição conseguirá sacar R$ 1.000,00 por mês.
(Se necessário, considere −In(0,5) = 0, 6931 e In(1,005) = 0, 004987).
Provas
Questão presente nas seguintes provas
Uma empresa de eventos alugou um equipamento de
sonorização e combinou que o pagamento seria
atualizado por juros simples, tomando como base uma
taxa mensal. O valor inicialmente devido era de R$
8.000,00 e, após 142 dias, o valor total cobrado passou
a ser R$ 10.000,00.
Considerando o mês comercial de 30 dias, assinale corretamente a taxa mensal de juros simples aplicada nessa operação financeira.
Considerando o mês comercial de 30 dias, assinale corretamente a taxa mensal de juros simples aplicada nessa operação financeira.
Provas
Questão presente nas seguintes provas
Em uma empresa de logística, a razão entre o número
de veículos de pequeno porte e o número de veículos de
grande porte é de 2/5 .
Em relação ao total de veículos da frota, assinale corretamente a porcentagem de veículos de pequeno porte.
Em relação ao total de veículos da frota, assinale corretamente a porcentagem de veículos de pequeno porte.
Provas
Questão presente nas seguintes provas
Uma editora educacional comercializa dois tipos de
materiais didáticos: Material A e Material B.
O custo de produção por unidade do Material A é de R$
4,00, enquanto o do Material B é de R$ 10,00.
Em uma campanha institucional, a editora vendeu 260
unidades ao todo desses dois materiais, praticando os
seguintes acréscimos sobre o custo de produção:
• Material A: 50% acima do custo;
• Material B: 40% acima do custo.
Ao final da campanha, a receita total obtida com as vendas foi de R$ 2.680,00.
Com base nessas informações, determine a quantidade vendida de cada material.
• Material A: 50% acima do custo;
• Material B: 40% acima do custo.
Ao final da campanha, a receita total obtida com as vendas foi de R$ 2.680,00.
Com base nessas informações, determine a quantidade vendida de cada material.
Provas
Questão presente nas seguintes provas
Em um processo de verificação de parâmetros de um
modelo matemático, uma variável real x deve satisfazer
simultaneamente um conjunto de condições para que
o modelo seja considerado válido. Essas condições são
expressas pelo seguinte sistema de inequações:
Assinale corretamente a alternativa que determina o conjunto solução em ℝ desse sistema.
Assinale corretamente a alternativa que determina o conjunto solução em ℝ desse sistema.
Provas
Questão presente nas seguintes provas
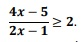
Em um estudo de viabilidade financeira, uma razão
algébrica representa a relação entre custos e receita de
determinado projeto. Para que o projeto seja
considerado viável, essa razão deve satisfazer a
inequação:
Assinale corretamente a assertiva que determina o conjunto solução em ℝ da inequação apresentada.
Assinale corretamente a assertiva que determina o conjunto solução em ℝ da inequação apresentada.
Provas
Questão presente nas seguintes provas
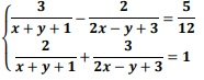
Em um sistema de controle de acesso de um centro de
pesquisa, duas variáveis reais x e y representam
parâmetros ajustáveis relacionados à identificação e à
validação de usuários. Esses parâmetros devem
satisfazer simultaneamente duas condições impostas
pelo software de segurança, expressas pelo seguinte
sistema de equações:
Com base nas informações apresentadas, assinale a alternativa que determine corretamente os valores de x e y que satisfazem esse sistema.
Com base nas informações apresentadas, assinale a alternativa que determine corretamente os valores de x e y que satisfazem esse sistema.
Provas
Questão presente nas seguintes provas
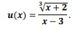
Em um modelo matemático empregado para analisar a
relação entre uma variável ajustada e um parâmetro de
referência, a função que descreve o sistema é dada por:
Considerando apenas valores reais de x, assinale a alternativa que representa corretamente o domínio da função u.
Considerando apenas valores reais de x, assinale a alternativa que representa corretamente o domínio da função u.
Provas
Questão presente nas seguintes provas
Em um sistema computacional de escalonamento
automático, uma função f é utilizada para modelar o
comportamento de desempenho de um processo. Esse
sistema possui a propriedade de que, ao triplicar a
entrada, o valor da função também é triplicado, isto é,
para todo x ∈ ℝ, f(3x) = 3f(x).
Sabendo que o desempenho do sistema para a entrada x = 9 é dado por f(9) = 45, determine o valor de f (1).
Sabendo que o desempenho do sistema para a entrada x = 9 é dado por f(9) = 45, determine o valor de f (1).
Provas
Questão presente nas seguintes provas
Cadernos
Caderno Container