Foram encontradas 40 questões.
O dígito das unidades do número x = 132016 + 172021 + 112024 é:
Provas
Questão presente nas seguintes provas
Considere os triângulos ABC, retângulo em B, ADE, retângulo em D e CDE,
retângulo em D, conforme ilustra a figura a seguir:
Se AB = 8 cm, BE = 4 cm e CE = 2 cm, a área do triângulo ADE, retângulo em D vale, em centímetros quadrados:
Se AB = 8 cm, BE = 4 cm e CE = 2 cm, a área do triângulo ADE, retângulo em D vale, em centímetros quadrados:
Provas
Questão presente nas seguintes provas
Seja a função f : R → R definida por f(x) = 5x3 - 10x2 - 55x + 60. Se S é a soma das raízes de f(x), P é o produto das raízes de f(x) e Q+ é o quociente entre a maior e a menor raiz positiva de f(x), analise as afirmativas acerca da função g: R → R definida por g (x) = Sx2 + Px + Q+ :
I- g( x) possui, ao menos, uma raiz racional. II- As raízes de g( x) são, ambas, irracionais. III- Sendo S1 a soma das raízes de g(x ), então S1= 6. , IV- g( x) possui ambas as raízes positivas.
É CORRETO o que se afirma apenas em:
I- g( x) possui, ao menos, uma raiz racional. II- As raízes de g( x) são, ambas, irracionais. III- Sendo S1 a soma das raízes de g(x ), então S1= 6. , IV- g( x) possui ambas as raízes positivas.
É CORRETO o que se afirma apenas em:
Provas
Questão presente nas seguintes provas
Sendo x1, x2, x3 três números reais positivos tais que S = x1 + x2 + x3 = 72, pode-se afirmar acerca de P = x1 . x2 . x3 que:
Provas
Questão presente nas seguintes provas
Rafael adora fazer corrida para manter sua saúde em dia. Ele corre aos domingos 5
km e registra o tempo que leva para percorrer essa distância a fim de ter o controle de
como anda sua evolução com o passar do tempo. Os tempos de Rafael nas últimas 9
semanas estão apresentados no quadro a seguir:
Se na quinta semana Rafael tivesse sido 1 minuto mais rápido, analise as afirmativa a seguir.
I- Amediana dos dados permaneceria a mesma. II- Amédia aritmética simples dos dados permaneceria a mesma. III- Aamplitude dos dados permaneceria a mesma. IV- Amoda dos dados permaneceria a mesma.
É CORRETO o que se afirma apenas em:
Se na quinta semana Rafael tivesse sido 1 minuto mais rápido, analise as afirmativa a seguir.
I- Amediana dos dados permaneceria a mesma. II- Amédia aritmética simples dos dados permaneceria a mesma. III- Aamplitude dos dados permaneceria a mesma. IV- Amoda dos dados permaneceria a mesma.
É CORRETO o que se afirma apenas em:
Provas
Questão presente nas seguintes provas
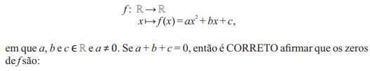
Observe a figura a seguir:

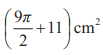
Sabendo que cada quadrado da malha mede 1 cm de lado e que a figura é formada por uma união de quartos de circunferência ( 1/4 de uma circunferência), ou seja, por arcos de π/2 rad, o interior desta figura tem uma área, em cm², de:
Provas
Questão presente nas seguintes provas
Natália é estudante do 1º ano do Ensino Médio e está estudando Progressão
Aritmética, também chamada de PA. Ao resolver uma questão em casa, percebeu
que uma certa PA crescente de 43 termos, cujo primeiro deles a1 é = 2, é tal que o primeiro termo (a1), o terceiro termo (a3), o décimo primeiro termo (a11), e o quadragésimo terceiro termo (a43), formam, nessa ordem, uma PG. Nesse caso, a a43
razão da PA elevado à razão da PG é:
Provas
Questão presente nas seguintes provas
Felipe trabalha em uma gráfica que produz, dentre outras coisas, mantas
magnéticas. Essas mantas são cortadas em uma máquina de tal forma que todas
tenham o mesmo tamanho. Durante esse processo, Felipe percebeu que sobraram
duas mantas, uma com 1260 mm e a outra com 1386 mm. O gerente da gráfica,
pensando no melhor para a empresa, mandou que Felipe cortasse as mantas com
uma certa medida, de tal forma que não sobrasse nenhum pedaço de manta, todas
fossem do mesmo tamanho e suas medidas fossem as maiores possíveis. Desse
modo, podemos afirmar que as mantas cortadas por Felipe têm medida igual a:
Provas
Questão presente nas seguintes provas
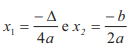
Uma função bastante estudada em Matemática é a chamada função quadrática,
definida algebricamente da seguinte forma:


Provas
Questão presente nas seguintes provas
Considerando o número natural n = 377300, dentre os divisores positivos de n, a quantidade dos que são múltiplos de 7 é:
Provas
Questão presente nas seguintes provas
Cadernos
Caderno Container