Foram encontradas 101 questões.
Analise as afirmativas sobre prismas e pirâmides.
I. Existe prisma com 33 arestas.
II. Existe pirâmide com 33 arestas.
III. Uma pirâmide com 14 arestas tem 8 vértices.
IV. Um prisma com 17 faces tem 30 vértices.
Pode-se afirmar que estão corretas apenas as afirmações
Provas
O gráfico representa a quantidade de livros retirados da biblioteca por funcionários de uma empresa.

A média dos livros retirados pelas mulheres é
Provas
Provas
Analise as três sentenças a respeito de números reais.
I. Um número irracional pode ter representação decimal finita.
II. Todo número racional pode ser expresso por meio de uma fração.
III. Todos números que têm representação decimal infinita são irracionais.
IV. A expansão decimal de 20/19 é infinita e periódica.
Está correto apenas o que se afirma em
Provas
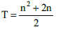
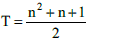
A figura apresenta os cinco primeiros elementos de uma sequência de números chamados números triangulares.

A fórmula que representa a quantidade total de bolinhas (T) necessárias para construir todas as figuras até a na figura é:
Provas
Provas
- ConjuntosConceitos Gerais sobre ConjuntosFormas de Representação dos ConjuntosRepresentação por diagramação (diagrama de Euler-Venn)
Em uma cidade, foi feita uma pesquisa para conhecer o hábito de poupar dos munícipes no ano passado e neste ano. Dos entrevistados sabe-se que
• 500 munícipes declararam que depositarão em caderneta de poupança, apesar de não terem depositado em poupança no ano anterior.
• 130 munícipes declararam que fizeram poupança no ano anterior, mas não farão este ano.
• o total dos que farão poupança este ano é 1 850.
• ao todo 1 700 munícipes declararam que não fizeram poupança no ano anterior.
Foram entrevistados para essa pesquisa
Provas
Disciplina: Raciocínio Lógico
Banca: VUNESP
Orgão: Pref. São José Rio Preto-SP
Cada uma das quatro figuras da sequência a seguir é composta de quadrinhos claros e de quadrinhos escuros.

Admita que a lei de formação das figuras seguintes dessa sequência permaneça a mesma. O número de quadrinhos claros da figura que ocuparia a 40.ª posição na sequência é
Provas
Disciplina: Raciocínio Lógico
Banca: VUNESP
Orgão: Pref. São José Rio Preto-SP
Provas

Provas
Caderno Container