Foram encontradas 60 questões.
Os 25 números inteiros de −8 a 16 podem ser colocados em uma
tabela 5 x 5 de modo que as somas dos números de cada linha e
as somas dos números de cada coluna sejam todas iguais.
O valor dessa soma comum a todas as linhas e a todas as colunas é
O valor dessa soma comum a todas as linhas e a todas as colunas é
Provas
Questão presente nas seguintes provas
Joana comprou um vestido por R$ 200,00 e pagou em duas
parcelas iguais de R$ 105,00 cada uma, sendo que a primeira
parcela foi paga no ato da compra e a segunda um mês após a
compra.
Joana pagou x % de juros ao mês sobre o saldo devedor.
É correto afirmar que:
Joana pagou x % de juros ao mês sobre o saldo devedor.
É correto afirmar que:
Provas
Questão presente nas seguintes provas
Considere o ponto P(a, b) do plano cartesiano, sendo a e b maiores do que zero. O ponto P sofre, em sequência, as seguintes transformações:
•Reflexão no eixo-y (ordenadas). •Reflexão na origem do sistema cartesiano. •Rotação de 90° em torno da origem no sentido horário.Sendo Q o ponto resultante dessas transformações, é correto afirmar que as coordenadas de Q são:
Provas
Questão presente nas seguintes provas
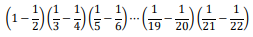
O valor da expressão aritmética

é igual a
Provas
Questão presente nas seguintes provas
Em um saco, há 50 bolinhas iguais numeradas de 1 até 50.
Retirando uma delas ao acaso, a probabilidade de que seu número não seja nem par nem múltiplo de 3 é igual a
Retirando uma delas ao acaso, a probabilidade de que seu número não seja nem par nem múltiplo de 3 é igual a
Provas
Questão presente nas seguintes provas
Seja P(x, y) o ponto do plano cartesiano que representa a
solução do sistema

No plano cartesiano, o ponto P está localizado no

No plano cartesiano, o ponto P está localizado no
Provas
Questão presente nas seguintes provas
Um prisma e uma pirâmide possuem uma mesma quantidade de
arestas. A pirâmide possui 13 vértices.
O número de vértices do prisma é
O número de vértices do prisma é
Provas
Questão presente nas seguintes provas
Em certa sequência, os dois primeiros termos são 1 e 2. A partir
do terceiro termo (inclusive), cada termo é igual à soma dos dois
termos imediatamente anteriores a ele. Seja m a média
aritmética dos 8 primeiros termos dessa sequência e seja d o
valor absoluto da diferença entre m e o termo da sequência mais
próximo de m.
O valor de 4d é
O valor de 4d é
Provas
Questão presente nas seguintes provas
A figura abaixo mostra uma barra homogênea, em posição
horizontal, com objetos de massas m1 e m2 pendurados em suas
extremidades e apoiada em um ponto 0.

Sabe-se que, quando há equilíbrio, as massas m1 e m2 são inversamente proporcionais às distâncias respectivas, d1 e d2, do ponto de apoio a cada uma das extremidades da barra. O comprimento da barra é de 80 cm e as massas m1 e m2 são, respectivamente, de 120 g e 280 g. Estando a barra equilibrada, a diferença d1 − d2 entre as duas distâncias é de

Sabe-se que, quando há equilíbrio, as massas m1 e m2 são inversamente proporcionais às distâncias respectivas, d1 e d2, do ponto de apoio a cada uma das extremidades da barra. O comprimento da barra é de 80 cm e as massas m1 e m2 são, respectivamente, de 120 g e 280 g. Estando a barra equilibrada, a diferença d1 − d2 entre as duas distâncias é de
Provas
Questão presente nas seguintes provas
Um copo cheio d’água pesa 420g. Dois copos iguais ao anterior,
um deles vazio e outro com água pela metade, pesam 480g.
O peso de um copo vazio é
O peso de um copo vazio é
Provas
Questão presente nas seguintes provas
Cadernos
Caderno Container