Foram encontradas 309 questões.
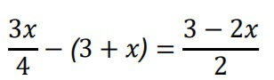
Obtenha o resultado para x na equação
abaixo e assinale a alternativa correta:


Provas
Questão presente nas seguintes provas
Um veículo, com consumo de 12 km/litro de
combustível, percorreu 144 km em uma rodovia.
Pode-se dizer que seu gasto, em litros de
combustível, foi de:
Provas
Questão presente nas seguintes provas

Provas
Questão presente nas seguintes provas

Provas
Questão presente nas seguintes provas
Em relação ao número de sílabas, a palavra “apostila” é classificada como:
Provas
Questão presente nas seguintes provas
A questão diz respeito ao
Poema. Leia-o atentamente antes de respondê-la.

Provas
Questão presente nas seguintes provas

Provas
Questão presente nas seguintes provas
A questão diz respeito ao
Poema. Leia-o atentamente antes de respondê-la.

Provas
Questão presente nas seguintes provas

“Carla é uma profissional muito simpática, gentilmente me deu preferência do atendimento.”
Assinale a alternativa que classifique correta e respectivamente os termos destacados:
Provas
Questão presente nas seguintes provas
Analise a tirinha abaixo:
A figura de linguagem utilizada na tirinha recebe o nome de:
A figura de linguagem utilizada na tirinha recebe o nome de:
Provas
Questão presente nas seguintes provas
Cadernos
Caderno Container