Foram encontradas 467 questões.
Disciplina: Engenharia Elétrica
Banca: FUNDATEC
Orgão: Pref. Sapucaia Sul-RS
Provas
Disciplina: Engenharia Elétrica
Banca: FUNDATEC
Orgão: Pref. Sapucaia Sul-RS

A seguir, encontra-se a respectiva tabela com a distribuição dos circuitos equivalentes do diagrama unifilar apresentado:

Analisando as informações apresentadas, assinale a alternativa que corresponde ao valor dimensionado para o disjuntor geral desse circuito.
Provas
Um estabelecimento comercial tem as seguintes cargas instaladas:
• 12 Lâmpadas de 150W.
• 4 Lâmpadas de 60W.
• 3 Televisores de 100W.
• 1 Sistema de som de 60W.
• 1 Freezer de 400W.
• 1 Forno elétrico de 1500W.
• 1 Estufa de salgados de 250W.
• 1 Câmara fria de 10kW.
Em determinado período do dia, funcionam as seguintes cargas simultaneamente: 12 lâmpadas de150W, 2 televisores, 1 câmara fria, 1 estufa de salgados, 1 freezer e 1 sistema de som. Nesse cenário,qual é o fator de demanda, considerando um cenário ideal?
Provas
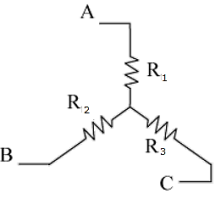
Um circuito ∆ é representado na figura a seguir:

O circuito equivalente em Y é representado na figura a seguir:

Assinale a alternativa que apresenta os valores para R1, R2 e R3 no circuito equivalente em Y (considere o valor com 2 casas decimais).
Provas
Disciplina: Segurança e Saúde no Trabalho (SST)
Banca: FUNDATEC
Orgão: Pref. Sapucaia Sul-RS
Provas
Provas
Provas
Disciplina: Engenharia Elétrica
Banca: FUNDATEC
Orgão: Pref. Sapucaia Sul-RS
- Circuitos ElétricosCircuitos CACircuitos Trifásicos
- Transformadores e Máquinas ElétricasMáquinas Síncronas
- Transformadores e Máquinas ElétricasMáquina de Indução
Provas
Um resistor fixo de carbono apresenta a seguinte sequência de cores:

Analisando o código de cores apresentado, qual leitura representa a sequência acima?
Provas
I. Tensão (V). II. Resistência (Ω). III. Corrente elétrica (A). IV. Potência (W). V. Intensidade luminosa (cd).
Quais estão corretas?
Provas
Caderno Container