Foram encontradas 1.370 questões.
A história da evolução humana teve início na África e passou por diversas etapas de migrações e especiações. Embora existam muitas dúvidas e discussões sobre esse processo evolutivo humano, algumas delas convergem para uma representação simplificada dessa evolução, demonstrada no cladograma a seguir.

A observação desse cladograma permite afirmar que
Provas
K., 15 anos, do sexo feminino, apresenta antecedente de epilepsia mioclônica juvenil desde os 12 anos, com crises tônico-clônicas generalizadas, que estão parcialmente controladas com uso de divalproato de sódio. Nos últimos seis meses, apresentou sintomas como apatia, baixa autoestima, humor deprimido e retraimento social. Ela relata falta de interesse e prazer em atividades que antes a agradavam, sentimento de angústia, ansiedade e dificuldade de concentração, o que afeta seu desempenho escolar. Após avaliação psiquiátrica, foi diagnosticada com transtorno depressivo maior moderado.
Diante desse quadro, assinale a alternativa que apresenta a melhor abordagem inicial para o tratamento da paciente, considerando tanto a epilepsia quanto o transtorno mental.
Provas
Segundo o DSM-5, os transtornos especificados de tiques – transtorno de Tourette, transtorno de tique motor ou vocal persistente e transtorno de tique transitório – têm, entre seus critérios diagnósticos, além da ausência de explicação etiológica por uso de substância ou outra condição médica, outro critério em comum.
Esse critério em comum é:
Provas
O distúrbio psiquiátrico cujo pico de incidência ocorre na primeira década de vida é:
Provas
Sabe-se, atualmente, que existem dois genes envolvidos na determinação da cor dos olhos, denominados genes GEY e BEY. O gene GEY tem dois alelos, um dominante (GV), que condiciona a cor verde, e outro recessivo (GA), que condiciona a cor azul. Igualmente, o gene BEY tem dois alelos, um dominante (BM) que condiciona olhos castanhos, e outro recessivo, que condiciona a cor azul (BA). Sabe-se, também, que o gene BAY (BM), que condiciona olhos castanhos é epistático dominante sobre o gene GEY (GV e GA).
Assim, uma pessoa com olhos verdes e outra pessoa com olhos azuis apresentam, respectivamente, os seguintes genótipos
Provas
Disciplina: Engenharia Florestal
Banca: VUNESP
Orgão: Pref. Sertãozinho-SP
Em um estudo de fragmentação florestal utilizando SIG, um pesquisador empregou a técnica de análise de morfologia matemática para avaliar a conectividade da paisagem. Após processar uma imagem binária da área de estudo, onde pixels brancos representam fragmentos florestais e pixels pretos representam a matriz da paisagem, o pesquisador aplicou sucessivamente operações de dilatação seguidas de erosão, conhecidas como “fechamento”.
Considerando os princípios da morfologia matemática e sua aplicação em SIG para análise de paisagem, assinale a alternativa correta.
Provas
Um dos nomes mais importantes da psicanálise infantil do século XX é Donald Winnicott, um pediatra inglês discípulo de Freud.
Winnicott se dedicou a diversos temas, e um de seus grandes objetos de estudo
Provas
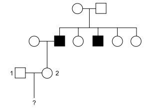
A cegueira para as cores vermelho e verde é uma característica ligada ao sexo nos seres humanos. O alelo mutante da cegueira para as cores vermelho e verde é expresso como uma característica recessiva ligada ao cromossomo X.
O heredograma a seguir representa essa herança genética em uma família, na qual os indivíduos diferenciados com a cor preta apresentam a anomalia citada.

A probabilidade do casal 1 x 2 ter um menino com a anomalia é:
Provas
J., 11 anos, do sexo masculino, apresenta, há cerca de 8 meses, isolamento social, fica a maior parte do tempo em seu quarto e recusa-se a ir à escola. Já verbalizou ao pai e à psicóloga medo de a polícia o estar investigando; por isso, cobriu as câmeras do celular e do computador com fita e colou papéis na janela e na fechadura de seu quarto. A mãe o escuta falando sozinho no quarto, ouve risadas, solilóquios e alguns gritos, mas o paciente pouco responde quando ela o questiona sobre isso. Está em psicoterapia, porém deixou de conversar lá também, onde permanece calado, escrevendo em um caderno anotações com pouco sentido. Passou a descuidar da higiene, aceita comer apenas marmita de um restaurante próximo, mantém sono regular. Não apresenta histórico anterior de transtorno mental, nunca fez uso de substâncias psicoativas, não fez tratamentos medicamentos para outras condições de saúde, não apresenta comorbidades clínicas. Tem exames laboratoriais e de imagem dentro da normalidade.
O diagnóstico mais provável de J., de acordo com o DSM-5, é:
Provas
Os fungos são organismos muitos conhecidos. Alguns são muito úteis ao homem enquanto outros causam doenças. Há, ainda os venenosos como o basidiomiceto Amanita phalloides, que produz uma toxina poderosa, capaz de inibir a síntese de RNAm, o que pode provocar a morte.
Ao inibir a síntese de RNAm, essa toxina impede a
Provas
Caderno Container