Foram encontradas 50 questões.
Nas instalações prediais de esgoto sanitário,
Provas
No dimensionamento da capacidade dos reservatórios de água para um edífico de 20 pavimentos, com 4 apartamentos de 3 dormitórios por andar, considerando-se o consumo de dois dias, reserva de incêndio de 14 000 L, duas pessoas por dormitório, consumo de 200L/dia per capita e volume reservado dividido igualmente entre reservatório superior e inferior, tem-se que
Provas
O texto seguinte refere-se às questões de números 36 e 37.

Pode-se afirmar que, na composição de custos da execução de fôrmas para fundações,
Provas
O texto seguinte refere-se às questões de números 36 e 37.

Para estes insumos, o custo unitário da execução de fôrmas para fundações é
Provas
A nega para 10 golpes de um pilão com 40 kN, caindo de uma altura constante de 100 cm sobre uma estaca de concreto armado de peso total igual a 60 kN e carga admissível igual a 1 200 kN, segundo a fórmula dos Holandeses (com R igual a dez vezes a carga admissível), vale
Provas
A disposição final de resíduos sólidos domésticos em aterros sanitários
Provas
Disciplina: Legislação Estadual e Distrital
Banca: VUNESP
Orgão: Pref. Sorocaba-SP
O Código Sanitário do Estado de São Paulo, Lei Estadual n.º 10.083/1998 estabelece que
Provas
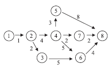
Considerando o diagrama de PERT/CPM apresentado, no qual os eventos estão representados por cículos e a duração das atividades (em semanas) entre eventos é dada ao lado das setas, é correto afirmar que

Provas
O Estatuto da Cidade, Lei Federal n.º 10.257/2001, dispõe que
Provas
Na zona residencial ZR1, as edificações de uso residencial em lotes (RL) e em glebas (RG) tem sua altura limitada a
Provas
Caderno Container