Foram encontradas 209 questões.
Fundamental em qualquer tipo de organização, representa o conjunto de normas que
fundamenta a consciência profissional de um trabalhador no exercício de sua função, fornecendo imperativos
de uma boa conduta e integridade profissional, que, por sua vez, auxiliam de forma concreta tanto no tratamento do público quanto em termos de relações humanas no ambiente de trabalho. A alternativa que completa
CORRETAMENTE a lacuna acima é:
Provas
Questão presente nas seguintes provas
Analise as assertivas a seguir:
- Lei Orgânica Municipal é responsável por regular os aspectos políticos do município, sempre buscando o interesse da população local.
- A Lei Orgânica Municipal deve seguir os princípios da Constituição Federal (CF).
- A Lei Orgânica Municipal tem a opção de seguir ou não os princípios da Constituição Estadual.
- Lei Orgânica do município deve ser aprovada por pelo menos dois terços da Câmara Municipal.
Assinale a alternativa CORRETA.
Provas
Questão presente nas seguintes provas
Utilizando a fórmula: an = a1 + (n - 1). r
Assinale a alternativa que apresenta o 125º termo da Progressão Aritmética (-100, -98, ...)
Provas
Questão presente nas seguintes provas
Assinale a alternativa que apresenta a maior solução da equação x² + 2x - 15 = 0
Provas
Questão presente nas seguintes provas
Um litro de leite de uma determinada marca tem 30 g de proteínas. Para obter 1 quilograma de proteínas,
aproximadamente quantos litros desse leite devem ser consumido?
Provas
Questão presente nas seguintes provas
Um terreno em formato de trapézio pode ser representado pela figura a seguir:

Qual é sua área em m²?

Qual é sua área em m²?
Provas
Questão presente nas seguintes provas
Metade dos alunos de uma escola estudam de manhã, um terço estuda a tarde e os outros 100 estudam a
noite. Qual o total de alunos na escola?
Provas
Questão presente nas seguintes provas
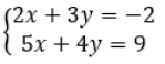
Calcule o valor de x + y, sabendo que: 

Provas
Questão presente nas seguintes provas
Calcule o juro de uma aplicação de R$ 50.000,00 a juros compostos de 3% a.a. por 10 anos. Adote
(1,03)¹º=1,34.
Provas
Questão presente nas seguintes provas
Dos números a seguir, assinale o menor.
Provas
Questão presente nas seguintes provas
Cadernos
Caderno Container