Foram encontradas 1.083 questões.
Atenção: Para responder à questão, considere as informações abaixo.

Onde n e n’ na figura, são valores diferentes.
“O LAS (Alquilbenzeno Linear Sulfonato) é uma mistura de inúmeros homólogos e isômeros com diferentes massas moleculares (Tabela 1). Nessa mistura estão presentes homólogos que possuem número de átomos de carbono diferentes na cadeia alquílica. A posição do grupo assinalado na cadeia carbônica tem-se os diversos isômeros de um determinado homólogo. Os isômeros externos (IE) são aqueles em que o grupo assinalado está mais próximo ao átomo de carbono terminal da cadeia alquílica, enquanto que os isômeros internos (II) são aqueles que o grupo assinalado está mais distante.”
(Extraído e adaptado de: http://www.maxwell.vrac.puc-rio.br/16388/16388_3.PDF. p.24)
Provas
Atenção: Para responder à questão, considere as informações abaixo.

Onde n e n’ na figura, são valores diferentes.
“O LAS (Alquilbenzeno Linear Sulfonato) é uma mistura de inúmeros homólogos e isômeros com diferentes massas moleculares (Tabela 1). Nessa mistura estão presentes homólogos que possuem número de átomos de carbono diferentes na cadeia alquílica. A posição do grupo assinalado na cadeia carbônica tem-se os diversos isômeros de um determinado homólogo. Os isômeros externos (IE) são aqueles em que o grupo assinalado está mais próximo ao átomo de carbono terminal da cadeia alquílica, enquanto que os isômeros internos (II) são aqueles que o grupo assinalado está mais distante.”
(Extraído e adaptado de: http://www.maxwell.vrac.puc-rio.br/16388/16388_3.PDF. p.24)
Baseados na Tabela 1 e no texto, considere:
I. Os isômeros externos e internos do mesmo homólogo apresentam diferenças de solubilidade.
II. A solubilidade entre os homólogos é inversamente proporcional ao aumento da cadeia linear.
III. O tamanho da cadeia linear e a posição do grupamento na cadeia alquílica interfere na constante de biodegradação (k).
IV. O coeficiente de partição no lodo varia de acordo com a posição do radical (interno ou externo) sendo maior na fração C10.
Está correto o que consta APENAS em
Provas
Atenção: Para responder à questão, considere as informações abaixo.
A principal fonte de sulfeto em águas naturais é o lançamento de esgotos sanitários e de efluentes industriais que contenham sulfato, em condições anaeróbias. Devido à ação biológica, ocorre a transformação do sulfato. Em menor proporção, o íon sulfeto pode também ser gerado da decomposição biológica de matéria orgânica contendo enxofre, notadamente as proteínas albuminoides. A seguinte equação química (não balanceada) representa a redução de sulfato a sulfeto em meio anaeróbio pelas bactérias do gênero Desulphovibrio desulphuricans:”
(w)SO42- + (x)C + (y) H2O → (z1) (HCO3)- + (z2) H2S
(Extraído e adaptado de: http://www.leb.esalq.usp.br/disciplinas/Fernando/leb360/Fasciculo%207%20-%20Anions%20em%20Aguas.pdf. P.5)
Os coeficientes de balanceamento w, x, y, z1 e z2 na equação acima são, correta e respectivamente,
Provas
- FundamentosPropriedades das Substâncias
- Química CinéticaTransformações Químicas
- Química InorgânicaGeometria Molecular, Polaridade e Forças Intermoleculares
Atenção: Para responder à questão, considere as informações abaixo.
A principal fonte de sulfeto em águas naturais é o lançamento de esgotos sanitários e de efluentes industriais que contenham sulfato, em condições anaeróbias. Devido à ação biológica, ocorre a transformação do sulfato. Em menor proporção, o íon sulfeto pode também ser gerado da decomposição biológica de matéria orgânica contendo enxofre, notadamente as proteínas albuminoides. A seguinte equação química (não balanceada) representa a redução de sulfato a sulfeto em meio anaeróbio pelas bactérias do gênero Desulphovibrio desulphuricans:”
(w)SO42- + (x)C + (y) H2O → (z1) (HCO3)- + (z2) H2S
(Extraído e adaptado de: http://www.leb.esalq.usp.br/disciplinas/Fernando/leb360/Fasciculo%207%20-%20Anions%20em%20Aguas.pdf. P.5)
Provas
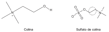
“O enxofre ligado ao oxigênio consiste principalmente de sulfato de ésteres, como o sulfato de colina, sulfatos fenólicos e polissacarídeos e lipídios sulfatados. Essa fração constitui em média cerca de 50% do enxofre orgânico e é obtida pela reação do H2S com ácido iodídrico (HI).”
Fórmulas da colina e seu respectivo sulfato:

A ligação assinalada (no local pontilhado) é
Provas
- FundamentosPropriedades das Substâncias
- Química CinéticaRepresentação das Transformações Químicas
- Química InorgânicaGeometria Molecular, Polaridade e Forças Intermoleculares
Considere a reação química entre sulfeto e ácido iodídrico (não balanceada) abaixo.
S2− + I2 + H+ → S + HI
O número de oxidação para o
Provas
- Gases
- Interações com Tecnologia, Sociedade e Meio Ambiente
- Química CinéticaRepresentação das Transformações Químicas
- Química CinéticaTransformações Químicas
Atenção: Para responder à questão, considere as informações abaixo.
A produção de metano no biogás através de biodigestores pode ser realizada através de digestão anaeróbia por duas classes de bactérias metanogênicas, as hidrogenotróficas e as acetoclásticas. As produções de metano por estas bactérias estão representadas pelas equações (1) e (2), respectivamente. O processo representado pela equação 2 é responsável pela produção de 70% do metano.
Dados:
R = 0,082 atm.L. K−1
4 H2(g) + CO2(g)
CH4(g) + 2H2O (l) (1)
CH3COOH(l)
CH4(g) + CO2 (g) (2)
(Extraído e adaptado de: http://www.tcc.sc.usp.br/tce/disponiveis/18/180500/tce.../Oliveira_Rafael_Deleo_e.pdf)
Para uma produção de 173 m3 de biogás (a 25°C, 1 atm de pressão) e com 80% de metano na mistura, a massa total de metano, água e dióxido de carbono são, em kg, aproximada e respectivamente:
Provas
Atenção: Para responder à questão, considere as informações abaixo.
A produção de metano no biogás através de biodigestores pode ser realizada através de digestão anaeróbia por duas classes de bactérias metanogênicas, as hidrogenotróficas e as acetoclásticas. As produções de metano por estas bactérias estão representadas pelas equações (1) e (2), respectivamente. O processo representado pela equação 2 é responsável pela produção de 70% do metano.
Dados:
R = 0,082 atm.L. K−1
4 H2(g) + CO2(g)
CH4(g) + 2H2O (l) (1)
CH3COOH(l)
CH4(g) + CO2 (g) (2)
(Extraído e adaptado de: http://www.tcc.sc.usp.br/tce/disponiveis/18/180500/tce.../Oliveira_Rafael_Deleo_e.pdf)
Provas
- Química OrgânicaFunções Oxigenadas: Álcool, Fenol e Enol
- Química OrgânicaFunções Oxigenadas: Cetona, Aldeído, Éter, Éster, Ácido Carboxílico etc.
- Química OrgânicaPolímeros
Atenção: Para responder à questão, considere as informações abaixo.
“Polímero de grande consumo no Brasil, principalmente devido ao seu uso na fabricação de garrafas para refrigerantes. Características como excelente resistência ao ataque de substâncias, resistência a deformações, baixo nível de absorção de umidade e baixo custo tornaram o PET Poli (tereftalato de etileno) um dos plásticos mais consumidos no mundo”.
(Extraído e adaptado de: PIATTI, Tania Maria e RODRIGUES, Reinaldo Augusto Ferreira. Plásticos: características, usos, produção e impactos ambientais. Maceió/AL, 2005)
A fórmula estrutural do polímero linear está representada abaixo:

Provas
- Química OrgânicaPolímeros
- Química OrgânicaReações OrgânicasReações Orgânicas: Oxidação, Redução e Polimerização
Atenção: Para responder à questão, considere as informações abaixo.
“Polímero de grande consumo no Brasil, principalmente devido ao seu uso na fabricação de garrafas para refrigerantes. Características como excelente resistência ao ataque de substâncias, resistência a deformações, baixo nível de absorção de umidade e baixo custo tornaram o PET Poli (tereftalato de etileno) um dos plásticos mais consumidos no mundo”.
(Extraído e adaptado de: PIATTI, Tania Maria e RODRIGUES, Reinaldo Augusto Ferreira. Plásticos: características, usos, produção e impactos ambientais. Maceió/AL, 2005)
A fórmula estrutural do polímero linear está representada abaixo:

Provas
Caderno Container