Foram encontradas 1.331 questões.
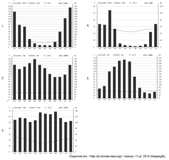
Analise os mapas apresentados a seguir.


Com base nas análises dos mapas temáticos, assinale a alternativa incorreta.
Provas
Provas
No Brasil, ao se analisar o histórico de ocorrência de eventos climáticos extremos, observou-se que nos últimos 30 anos eles têm aumentado significativamente, contribuindo para a deflagração de desastres naturais. Como esses extremos são associados à variabilidade natural do clima, existem indícios de que eles seriam mais intensos e frequentes num futuro clima mais quente.
MARENGO, J. A. O futuro clima do Brasil. REVISTA USP. n. 103. p. 25-32, 2014. (Adaptação).
Analise a imagem a seguir, a respeito das projeções para as próximas décadas para o clima do Brasil por região.

A respeito de possíveis desdobramentos desse cenário, assinale a alternativa incorreta.
Provas

Provas

Provas
| Cidades Globais e Migração (2009) | |||
| População |
Residentes em
Londres (%)
|
Residentes na Inglaterra
(Exceto Londres em %)
|
Residentes na Região
Metropolitana de Londres (%)
|
| Brancos britânicos | 52 | 88 | 61 |
| Outros brancos | 14 | 3 | 9 |
| Ascendência mista | 4 | 2 | 3 |
| Indianos | 4 | 2 | 9 |
| Paquistaneses | 2 | 1,5 | 3 |
| Bangladeshianos | 5 | 0,5 | 1 |
| Negros caribenhos | 5 | 1 | 3 |
| Negros africanos | 7 | 1 | 5 |
| Outros | 7 | 1 | 6 |
Provas

Provas
Provas
Provas
Provas
Caderno Container