Foram encontradas 30 questões.
Analise as afirmativas abaixo sobre as propriedades de números racionais e irracionais.
1. Ao multiplicar um número racional não nulo por π, o resultado é um número irracional.
2. Existem dois números irracionais x e y tais que x − y é um número racional.
3. Para quaisquer dois números racionais distintos a e b, com a < b, existem infinitos números irracionais x tais que a < x < b.
Assinale a alternativa que indica todas as afirmativas corretas.
Provas
Considerando esses dados, assinale a alternativa que apresenta a soma da mediana com a moda.
Provas
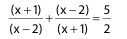
O valor de x é:
Provas
□ T(n) = a·log10(n) + b
onde: n é o número de chamados no dia (n ≥ 1) e log10 é o logaritmo na base 10.
Sabendo que T(100) = 3 e T(10.000) = 7, qual deve ser o número n para que T(n) = 5?
Provas
Quantos servidores são necessários, após a implantação do novo sistema, para concluir 432 processos em 6 dias, trabalhando 6 horas por dia?
Provas
Provas
Complete a frase abaixo:
Aquele cartaz dizia que.......... ninguém seria permitida..........entrada nas salas de reunião..........não ser com autorização escrita.
Assinale a alternativa que completa correta e sequencialmente as lacunas do texto.
Provas
Considere as palavras a seguir:
Aterrar • Enterrar • Desenterrar
Assinale a alternativa correta quanto ao processo de formação dessas palavras.
Provas
Leia o texto abaixo:
“Sob a Lua, num velho trapiche abandonado, as crianças dormem. Antigamente aqui era o mar. Nas grandes e negras pedras dos alicerces do trapiche as ondas ora se rebentavam fragosas, ora vinham se bater mansamente. A água passava por baixo da ponte sob a qual muitas crianças repousam agora, iluminadas por uma réstia amarela de lua. Desta ponte saíram inúmeros veleiros carregados, alguns eram enormes e pintados de estranhas cores, para a aventura das travessias marítimas. Aqui vinham encher os porões e atracavam nesta ponte de tábuas, hoje comidas. Antigamente diante do trapiche se estendia o mistério do mar-oceano, as noites diante dele eram um verde-escuro, quase negras, daquela cor misteriosa que é a cor do mar à noite”.
Jorge Amado, Capitães de Areia.
No trecho:
“[…] Antigamente diante do trapiche se estendia o mistério do mar-oceano, as noites diante dele eram um verde-escuro, quase negras, daquela cor misteriosa que é a cor do mar à noite. […]”
Assinale a alternativa que indica corretamente o plural das palavras em destaque na frase.
Provas
Leia o texto abaixo:
“Sob a Lua, num velho trapiche abandonado, as crianças dormem. Antigamente aqui era o mar. Nas grandes e negras pedras dos alicerces do trapiche as ondas ora se rebentavam fragosas, ora vinham se bater mansamente. A água passava por baixo da ponte sob a qual muitas crianças repousam agora, iluminadas por uma réstia amarela de lua. Desta ponte saíram inúmeros veleiros carregados, alguns eram enormes e pintados de estranhas cores, para a aventura das travessias marítimas. Aqui vinham encher os porões e atracavam nesta ponte de tábuas, hoje comidas. Antigamente diante do trapiche se estendia o mistério do mar-oceano, as noites diante dele eram um verde-escuro, quase negras, daquela cor misteriosa que é a cor do mar à noite”.
Jorge Amado, Capitães de Areia.
No trecho:
“[…] Nas grandes e negras pedras dos alicerces do trapiche as ondas ora se rebentavam fragosas, ora vinham se bater mansamente. […]”
Assinale a alternativa correta relacionada ao período destacado.
Provas
Caderno Container