Foram encontradas 1.317 questões.
Considere um transformador elementar
monofásico que tenha a função de reduzir a
tensão de entrada e que possua a bobina primária
com 5.000 espiras e a bobina do enrolamento
secundário com 500 espiras.
Qual será a tensão no enrolamento secundário caso for ligado ao enrolamento primário deste transformador a tensão de 227 V?
Qual será a tensão no enrolamento secundário caso for ligado ao enrolamento primário deste transformador a tensão de 227 V?
Provas
Questão presente nas seguintes provas
Para uma instalação industrial podem ser
apresentadas as seguintes causas que resultam
em um baixo fator de potência, exceto:
Provas
Questão presente nas seguintes provas
As subestações elétricas são fundamentais para o
sistema de distribuição de energia, realizando a
alteração dos parâmetros elétricos conforme a
demanda. Nesse contexto, interprete algumas
afirmações relevantes sobre essas instalações:
I - Na fase de transmissão as subestações são chamadas de Estações Transformadoras de Transmissão (ETT) e, normalmente, atuam com tensão em corrente alternada nos níveis de 69 kV a 750 kV.
II - No setor de distribuição as subestações são chamadas de Estações Transformadoras de Distribuição (ETD), as quais rebaixam o valor da tensão distribuindo-a pelos postes existentes nas ruas. Os valores de tensão de saída da ETD são definidos pela distribuidora local e normalmente são: 3,8 kV a 34,5 kV.
III - As Estações Transformadoras de Consumidor (ETC) são conectadas em tensão secundária de distribuição superior a 69 kV, nas situações em que a carga instalada na unidade consumidora for superior a 75 kW e sua demanda contratada atingir o limite máximo de 2.500 kW.
IV - A tensão primária de distribuição de 69 kV ou superior não deve ser utilizada no fornecimento de energia elétrica em que a unidade consumidora possui uma demanda contratada de valor superior a 2.500 kW.
É correto o que se afirma em:
I - Na fase de transmissão as subestações são chamadas de Estações Transformadoras de Transmissão (ETT) e, normalmente, atuam com tensão em corrente alternada nos níveis de 69 kV a 750 kV.
II - No setor de distribuição as subestações são chamadas de Estações Transformadoras de Distribuição (ETD), as quais rebaixam o valor da tensão distribuindo-a pelos postes existentes nas ruas. Os valores de tensão de saída da ETD são definidos pela distribuidora local e normalmente são: 3,8 kV a 34,5 kV.
III - As Estações Transformadoras de Consumidor (ETC) são conectadas em tensão secundária de distribuição superior a 69 kV, nas situações em que a carga instalada na unidade consumidora for superior a 75 kW e sua demanda contratada atingir o limite máximo de 2.500 kW.
IV - A tensão primária de distribuição de 69 kV ou superior não deve ser utilizada no fornecimento de energia elétrica em que a unidade consumidora possui uma demanda contratada de valor superior a 2.500 kW.
É correto o que se afirma em:
Provas
Questão presente nas seguintes provas
Um equipamento custa R$ 20.000 e deve ser
depreciado em 5 anos, quando deverá ter o valor
residual R$ 2.000. Sendo assim, a taxa de
depreciação no terceiro ano será de_____ e
com valor contábil de______ ?
Marque a opção que preenche corretamente as lacunas da pergunta anterior:
Marque a opção que preenche corretamente as lacunas da pergunta anterior:
Provas
Questão presente nas seguintes provas
A saturação do núcleo dos transformadores não está diretamente relacionada à geração de:
I - harmônicos II - transitórios III - corrente não senoidal IV – sobretensão
É correto o que se afirma em:
I - harmônicos II - transitórios III - corrente não senoidal IV – sobretensão
É correto o que se afirma em:
Provas
Questão presente nas seguintes provas
De acordo com a ABNT NBR 5410:2004, a
Tabela 33 define os tipos de linhas elétricas em
comum acordo com os métodos de instalação e
referência.
A Figura apresentada a seguir é um esquema ilustrativo cuja descrição é a seguinte:

A Figura apresentada a seguir é um esquema ilustrativo cuja descrição é a seguinte:

Provas
Questão presente nas seguintes provas
Qual é o espectro eletromagnético de luz visível?
Provas
Questão presente nas seguintes provas
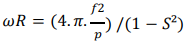
A velocidade angular (ωR) do campo magnético
girante está vinculada à frequência (f) do sinal
que é imposto ao enrolamento de armadura, ao
número de polos (p) desse enrolamento e ao
escorregamento (S) do rotor em relação ao
campo girante, como mostra a equação:
Provas
Questão presente nas seguintes provas
Observe a Figura referente a um circuito elétrico
equivalente do rotor de uma máquina de indução
polifásica, no modelo por fase.
Agora interprete as seguintes afirmações:
I - A impedância de dispersão de secundário ou do rotor da máquina é uma função do escorregamento.
II - Quando a máquina está a rotor bloqueado, o escorregamento é unitário e a frequência da corrente induzida no enrolamento do rotor é menor que a frequência da corrente que circula no enrolamento de armadura do estator.
III - A frequência da corrente do rotor é inversamente proporcional ao número de polos do enrolamento depositado no rotor ou no estator da máquina.
IV - Quando a máquina está a rotor sincronizado (por meio externo), o valor da reatância do enrolamento de rotor é nulo.
É correto o que se afirma em:
Agora interprete as seguintes afirmações:
I - A impedância de dispersão de secundário ou do rotor da máquina é uma função do escorregamento.
II - Quando a máquina está a rotor bloqueado, o escorregamento é unitário e a frequência da corrente induzida no enrolamento do rotor é menor que a frequência da corrente que circula no enrolamento de armadura do estator.
III - A frequência da corrente do rotor é inversamente proporcional ao número de polos do enrolamento depositado no rotor ou no estator da máquina.
IV - Quando a máquina está a rotor sincronizado (por meio externo), o valor da reatância do enrolamento de rotor é nulo.
É correto o que se afirma em:
Provas
Questão presente nas seguintes provas
Com relação a ruído elétrico, surto e transiente,
avalie as afirmações seguintes e marque (V) para
verdadeiro e (F) para falso:
( ) O ruído elétrico é um sinal de baixa amplitude, geralmente sem frequência determinada e que se soma à forma de onda origina.
( ) Um tipo de distúrbio em particular, denominado de flicker, apresenta o efeito comum de tremular da intensidade da luz, principalmente a fluorescente.
( ) O transiente é um pulso de alta amplitude. É comum um transiente ultrapassar quatro ou cinco vezes o valor da tensão de pico de uma forma de onda, porém não representa nenhum risco ao sistema.
( ) Apenas uma descarga atmosférica é capaz de gerar um transiente.
( ) O spike é uma abrupta elevação da tensão que pode atingir várias vezes o valor de pico da rede, seguido por queda lenta.
( ) O ruído elétrico é um sinal de baixa amplitude, geralmente sem frequência determinada e que se soma à forma de onda origina.
( ) Um tipo de distúrbio em particular, denominado de flicker, apresenta o efeito comum de tremular da intensidade da luz, principalmente a fluorescente.
( ) O transiente é um pulso de alta amplitude. É comum um transiente ultrapassar quatro ou cinco vezes o valor da tensão de pico de uma forma de onda, porém não representa nenhum risco ao sistema.
( ) Apenas uma descarga atmosférica é capaz de gerar um transiente.
( ) O spike é uma abrupta elevação da tensão que pode atingir várias vezes o valor de pico da rede, seguido por queda lenta.
Provas
Questão presente nas seguintes provas
Cadernos
Caderno Container