Foram encontradas 60 questões.
O vendedor de uma loja de eletrodomésticos recebe mensalmente um salário fixo de
R$ 1.720,00, mais uma comissão de 12% sobre as vendas feitas no mês. Em um determinado mês,
o vendedor vendeu um total de R$ 13.750,00. Nesse mês, o salário que o vendedor deve receber é
de:
Provas
Questão presente nas seguintes provas
Se o conjunto universo da variável x é U={0,2,4,6,8,10,12}, então o conjunto
verdade da sentença aberta x é múltiplo de 2 ∧ x é múltiplo de 3 é igual a:
Provas
Questão presente nas seguintes provas
A proposição composta que representa uma contradição é a que está indicada na
alternativa:
Provas
Questão presente nas seguintes provas
O perímetro de um terreno retangular é igual a 88m. O lado maior do terreno mede
19 m a mais do que o lado menor. Assim, podemos dizer que a área do terreno é igual a:
Provas
Questão presente nas seguintes provas
Considerando como universo da variável “x” o conjunto U={0,1,2,3,4,5}, analise as
seguintes afirmações e assinale a alternativa correta.
I. ∀x ∈ U, x + 1 é primo. II. ∃x ∈ U, 2x + 4 = 5. III. ∀x ∈ U, x3 < 40.
I. ∀x ∈ U, x + 1 é primo. II. ∃x ∈ U, 2x + 4 = 5. III. ∀x ∈ U, x3 < 40.
Provas
Questão presente nas seguintes provas
- Lógica ProposicionalEquivalências Lógicas
- Lógica ProposicionalNegação de Proposições CompostasLeis de De Morgan
Sabendo que é verdadeira a proposição “Patrícia é professora e gosta de matemática”,
podemos dizer que é falso que:
Provas
Questão presente nas seguintes provas
Considere que o quadrado ABCD da imagem abaixo tenha um perímetro de 36 unidades de medida. Observação: Use π = 3,14.

Então, a área da circunferência inscrita nesse quadrado é igual a:

Então, a área da circunferência inscrita nesse quadrado é igual a:
Provas
Questão presente nas seguintes provas
Sabendo que x1 e x2 são as raízes da equação 2x2 + 6x + 3 = 0, podemos afirmar que
2(x1x2)2 /3
é igual a:
Provas
Questão presente nas seguintes provas
- Lógica ProposicionalEquivalências Lógicas
- Lógica ProposicionalNegação de Proposições CompostasLeis de De Morgan
A negação da sentença “Existe aluno da turma de matemática que não estudou para
a prova” é:
Provas
Questão presente nas seguintes provas
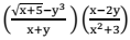
Qual o valor numérico da expressão
se x = −1 e y = 2?
Provas
Questão presente nas seguintes provas
Cadernos
Caderno Container