Foram encontradas 50 questões.
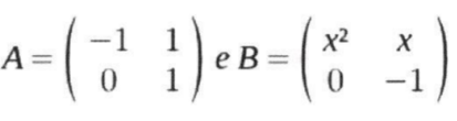
Sejam dadas as matrizes A e B, tais que:

Sabe-se que o determinante da matriz resultante do produto A . B depende do valor de x. Considerando que X1 € X2 são soluções da equação det (A . B) = 0, o valor de x1. x2 é:
Provas
as idades dos alunos que permaneceram na turma não se alteraram; o aluno que ingressou tem 16 anos; a nova média de idades da turma aumentou 0,2 ano.
A idade, em anos, do aluno que saiu da turma é:
Provas
O menor número inteiro que seguir do 1° grau é:

Provas
Considere 100,07525 = y e log2 = 0,301, o valor x é dado por:
Provas
Observe as funções reais definidas por a e b:
em que x é um número real
As coordenadas do ponto de intersecção | entre as funções a e b é igual a:
Provas
Considere a representação da Função de 2º grau f (x) = ax+bx+c Para resolver um problema que exige a determinação dos pontos de máximo ou mínimo da função, o aluno precisa alternar entre:
-O registro algébrico (a fórmula);
-O registro gráfico (a parábola no plano cartesiano).Qual o nome dado ao processo cognitivo essencial de transformar a expressão algébrica em sua representação visual gráfica ou vice-versa, permitindo ao aluno interpretar e resolver o problema com profundidade conceitual?
Provas
Com base nas informações fornecidas pelo gráfico, uma expressão possível para a função f(x) é:
Provas
Provas
Provas
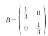
Considere a matriz B definida a seguir:

Define-se B1 =B, B2 = B . B, B3 = B2 . B e, de modo geral, Bn = Bn-1 . B
Seja en = d e t (Bn). O valor da soma e1; + e +e2 +e3+ e4+e5..en + ... é:
Provas
Caderno Container