Foram encontradas 60 questões.
Considerando os polinômios abaixo, sob quais condições o polinômio R(x) será de
grau 2?
P(x) = x3 + 2x2 − 3x + 4, Q(x) = ax3 − bx2 − 6x + 6 e R(x) = P(x) − Q(X).
P(x) = x3 + 2x2 − 3x + 4, Q(x) = ax3 − bx2 − 6x + 6 e R(x) = P(x) − Q(X).
Provas
Questão presente nas seguintes provas
Sabendo que um triângulo ABC isósceles tem base BC de 10 cm e perímetro de
36 cm, qual é (em cm2) a sua área?
Provas
Questão presente nas seguintes provas
Considerando os algarismos 1, 2, 3, 5, 7 e 8, quantos números ímpares de quatro
algarismos distintos podem ser formados?
Provas
Questão presente nas seguintes provas
Ao aumentar o raio r de um círculo em 20%, obtém-se outro círculo de raio R. Desse
modo, o aumento da área, em termos percentuais, será de:
Provas
Questão presente nas seguintes provas
A figura ABCD abaixo é um quadrado, cujo lado mede 4 cm.
Sabendo que os arcos de círculos FE e EG têm origem nos vértices D e C, respectivamente, e possuem raios iguais, qual é, em cm2, a área da figura hachurada? Considere π = 3,1.
Sabendo que os arcos de círculos FE e EG têm origem nos vértices D e C, respectivamente, e possuem raios iguais, qual é, em cm2, a área da figura hachurada? Considere π = 3,1.
Provas
Questão presente nas seguintes provas
Considerando as retas r e s representadas pelas equações a seguir, assinale a
alternativa correta sobre a posição relativa entre elas.
r: 3x + 2y − 5 = 0
s: 2x − 3y + 4 = 0
r: 3x + 2y − 5 = 0
s: 2x − 3y + 4 = 0
Provas
Questão presente nas seguintes provas
As medidas, em centímetros, dos lados de um hexágono estão em Progressão
Aritmética (PA). Sabendo que o perímetro desse polígono é 150 cm, e que o maior lado mede 35 cm,
qual é a medida (em cm) do lado que representa o quarto elemento dessa PA?
Provas
Questão presente nas seguintes provas
Qual é o valor de p para que o quociente das raízes da equação abaixo seja
igual a 3?
x2 + 8x + p = 0
x2 + 8x + p = 0
Provas
Questão presente nas seguintes provas
Sabendo que sec x = √5, qual é o valor da expressão y = 5 sen2 x + tg2x ?
Provas
Questão presente nas seguintes provas
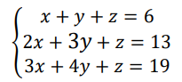
Considerando o sistema linear a seguir, sabe-se que D é o determinante da matriz
dos coeficientes e que Dx, Dy e Dz são os determinantes obtidos pela regra de Cramer, quanto à
classificação desse sistema, assinale a alternativa correta.


Provas
Questão presente nas seguintes provas
Cadernos
Caderno Container