Foram encontradas 420 questões.
Provas
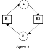
No contexto dos sistemas operacionais, _________ é a situação em que dois processos ficam impedidos de continuar suas execuções. Trata-se de um problema bastante estudado no contexto dos Sistemas Operacionais, assim como em outras disciplinas, como banco de dados, pois é inerente à própria natureza desses sistemas. Na figura 4, o processo é representado por um círculo e o recurso, por um quadrado. Quando um processo solicita um recurso, uma seta é dirigida do círculo ao quadrado. Quando um recurso é alocado a um processo, uma seta é dirigida do quadrado ao círculo. Pode-se ver dois processos diferentes (A e B), cada um com um recurso diferente alocado (R1 e R2), demonstrando um exemplo clássico de _________.

Assinale a alternativa que completa respectiva e corretamente as lacunas.
Provas
- Gerenciamento de ProcessosBloco de Controle de Processo (PCB)
- Gerenciamento de ProcessosEstados dos Processos
Para que a CPU não fique muito tempo sem executar tarefa alguma, os sistemas operacionais utilizam técnicas para escalonar os processos que estão em execução ao mesmo tempo na máquina. Dentre os vários algoritmos escalonadores utilizados pelos Sistemas Operacionais no gerenciamento da CPU a fim de determinar a fila de processamento, assim como a prioridade de um processo sobre outro, podemos afirmar que:
I – no algoritmo do tipo FIFO, o primeiro processo que chega será o primeiro a ser executado;
II – A fim de organizar os processos, estes recebem atribuições de estado. As informações de atribuições de estado dos processos ficam armazenadas no PCB (Process Control Block);
III - As listas são amplamente utilizadas em programação para implementar filas de espera.
Julgue, corretamente, as afirmativas I, II e III como veradeiras (V) ou falsas (F) e assinale a alternativa que cita a sequência correta.
Provas
- Gestão de ProcessosAutomação de Processos
- Gestão de ProcessosBPM: Gerenciamento de Processos de Negócio
- Gestão de ProcessosMelhoria Contínua de Processos
Com relação a automação de processos em uma empresa, julgue corretamente como verdadeiras (V) ou falsas (F) as afirmativas a seguir e assinale a alternativa correspondente.
I – Uma das vantagens na automação de processos é o registro de todas as ocorrências e de todos os problemas, assim como as soluções encaminhadas, levando a uma monitoração mais eficiente dos processos internos.
II – Automatizar um processo não resulta ou significa ganho de tempo e sim uma forma disponibilizar os recursos de TI para a supervisão de um processo automatizado, visando a detecção de falhas.
III – A automação de processos foca apenas o controle de ativos (programas e equipamentos), documentando as informações para fim de auditoria.
Provas
Provas
Provas
Provas
Provas
Provas
I. Placa de som;
II . Placa de vídeo;
III. Modem;
IV. Disco Rígido (HD);
V. Placa mãe;
VI. Memória RAM.
Qual(is) desses componentes NÃO é(são) necessário(s) para que o computador funcione?
Provas
Caderno Container