Foram encontradas 50 questões.
Em um concurso, para ser convocado para a admissão o candidato deve ser aprovado tanto em uma fase eliminatória, quanto em uma fase classificatória. Porém, os resultados de cada fase são divulgados apenas após ambas ocorrerem.
Dentre as diversas condições que devem ser satisfeitas para ser aprovado na fase eliminatória, duas delas são (nem todas foram listadas):
− Não possuir antecedentes criminais;
− Estar quite com a Justiça Eleitoral.
Quanto à fase classificatória, os candidatos fazem uma prova e são aprovados apenas os 5 melhores.
Sobre um candidato que fez ambas as fases desse concurso, mas NÃO foi convocado para a admissão, é necessariamente correto afirmar que
Provas
Uma pessoa decide dividir todo seu patrimônio entre seus 3 filhos ainda em vida. Analisando a situação atual de cada um, conclui que a filha mais velha deve receber 1/5 de seu patrimônio, ao passo que o filho do meio deve receber R$ 500.000,00 e o filho mais novo, 30% do total do patrimônio. No ato da transferência, cada filho deve pagar ao governo um imposto de 2% do valor recebido.
Dessa forma, a filha mais velha deverá pagar um imposto relativo ao valor por ela recebido de
Provas
Atenção: Para responder à questão, considere o texto abaixo.
Ao explicar para outra pessoa um trajeto de carro, nos valemos de instruções como vire à esquerda na primeira rua que der mão, vire à direita no farol e diversas outras.
Se o caminho passar por uma rotatória, pode-se descrever essa passagem de, pelo menos, duas maneiras:
− pegue a 2ª saída;
− percorra 270° e saia.
Considere a figura.

Veja a seguir a representação de uma região da cidade de Palmas, capital do estado do Tocantins:

As 6 avenidas exibidas são de mão dupla, os 9 cruzamentos destacados se dão por meio de rotatórias, as quais foram nomeadas por A, B, C, ... I. Em cada uma das 9 rotatórias destacadas, há apenas 3 saídas diferentes daquela em que o carro entrou (a 4ª saída é a mesma por onde o carro entrou).
Um carro se encontra no ponto destacado na figura, prestes a entrar na rotatória F. Ele irá seguir a sequência de instruções:
− percorra 180° na rotatória F, saia e siga até a próxima rotatória;
− pegue a 3ª saída na rotatória e siga até a próxima rotatória;
− percorra 90° na rotatória, saia e siga até a próxima rotatória.
Após seguir a última instrução, o carro chegará à rotatória
Provas
Suponha que uma pessoa precise comprar 3/7 de um saco de farinha de 10 kg. Para fazer isso, ela calcula o valor decimal da fração 3/7 e o arredonda, multiplicando-o por 10, para determinar a massa, em kg, que deverá ser comprada. Se a pessoa arredondar o valor decimal de 3/7 na primeira casa decimal, ela comprará menos farinha do que se fizer o arredondamento na segunda casa decimal (a pessoa adotou a seguinte regra de arredondamento: ao arredondar em uma determinada casa, ela observa o algarismo imediatamente à direita. Se ele for 5 ou mais, ela arredonda para cima; se for 4 ou menos, para baixo).
Portanto, a quantidade de farinha que ela comprará a mais, se arredondar na segunda casa decimal, é de
Provas
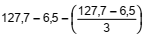
Uma pessoa saiu de casa com R$ 127,70 e foi de carro até a loja Maravilha, onde gastou R$ 6,50 de estacionamento e um quarto do restante em produtos. Em seguida, foi até o mercado Fartura e gastou um terço do que ainda possuía.
A expressão numérica que representa o valor que foi gasto no mercado Fartura, em reais, é
Provas
Provas
Atenção: Considere o texto abaixo para responder a questão.
O filósofo sempre foi considerado um personagem bizarro, estranho, capaz de cair num poço quando se embrenha em suas reflexões − é o que contam a respeito de Tales (cerca de 625-547 a.C.). O primeiro filósofo, segundo a tradição grega, combina enorme senso prático para os negócios com uma capacidade de abstração que o retira do mundo. Por isso é visto como indivíduo dotado de um saber especial, admirado porque manipula ideias abstratas, importantes e divinas. No fundo não está prefigurando as oposições que desenharão o perfil do homem do Ocidente? O divino Platão e o portentoso Aristóteles fizeram desse estranhamento o autêntico espanto diante das coisas, o empuxo para a reflexão filosófica.
Nos dias de hoje essa imagem está em plena decadência; o filósofo se apresenta como um profissional competindo com tantos outros. Ninguém se importa com as promessas já inscritas no nome de sua profissão: a prometida amizade pelo saber somente se cumpre se a investigação for levada até seu limite, cair no abismo onde se perdem suas raízes. A palavra grega filosofia significa “amigo da sabedoria”, por conseguinte recusa da adesão a um saber já feito e compromisso com a busca do correto.
Em contrapartida, o filósofo contemporâneo participa do mercado de trabalho. Torna-se mais seguro conforme aumenta a venda de seus livros, embora aparente desprezar os campeões de venda. Às vezes participa do jogo da mídia. Graças a esse comércio transforma seu saber em capital, e as novidades que encontra na leitura de textos, em moeda de troca. Ao tratar as ideias filosóficas como se fossem meras opiniões, isoladas de seus pressupostos ligados ao mundo, pode ser seduzido pela rigidez de ideias sem molejo, convertendo-se assim num militante doutrinário. Outras vezes, cai nas frivolidades da vida mundana. Não vejo na prática da filosofia contemporânea nenhum estímulo para que o estudioso se comprometa com uma prática moral e política mais consciente de si mesma, venha a ser mais tolerante às opiniões alheias.
Num mundo em que as coisas e as pessoas são descartáveis, a filosofia e o filósofo também se tornam dispensáveis, sempre havendo uma doutrina ou um profissional capaz de enaltecer uma trama de interesses privados. A constante exposição à mídia acaba levando o filósofo a dizer o que o grande público espera dele e, assim, também pode usufruir de seus quinze minutos de celebridade. Diante do perigo de ser engolfado pela teia de condutas que inverte o sentido original de suas práticas, o filósofo, principalmente o iniciante, se pretende ser amante de um saber autêntico, precisa não perder de vista que assumiu o compromisso de afastar-se das ideias feitas − ressecadas pela falta da seiva da reflexão − e de desconfiar das novidades espalhafatosas. Se aceita consagrar-se ao estudo das ideias, que reflita sobre o sentido de seu comportamento.
(Adaptado de: GIANNOTTI, José Arthur. Lições de filosofia primeira. São Paulo: Companhia das Letras, 2011, edição digital)
Provas
Atenção: Considere o texto abaixo para responder a questão.
O filósofo sempre foi considerado um personagem bizarro, estranho, capaz de cair num poço quando se embrenha em suas reflexões − é o que contam a respeito de Tales (cerca de 625-547 a.C.). O primeiro filósofo, segundo a tradição grega, combina enorme senso prático para os negócios com uma capacidade de abstração que o retira do mundo. Por isso é visto como indivíduo dotado de um saber especial, admirado porque manipula ideias abstratas, importantes e divinas. No fundo não está prefigurando as oposições que desenharão o perfil do homem do Ocidente? O divino Platão e o portentoso Aristóteles fizeram desse estranhamento o autêntico espanto diante das coisas, o empuxo para a reflexão filosófica.
Nos dias de hoje essa imagem está em plena decadência; o filósofo se apresenta como um profissional competindo com tantos outros. Ninguém se importa com as promessas já inscritas no nome de sua profissão: a prometida amizade pelo saber somente se cumpre se a investigação for levada até seu limite, cair no abismo onde se perdem suas raízes. A palavra grega filosofia significa “amigo da sabedoria”, por conseguinte recusa da adesão a um saber já feito e compromisso com a busca do correto.
Em contrapartida, o filósofo contemporâneo participa do mercado de trabalho. Torna-se mais seguro conforme aumenta a venda de seus livros, embora aparente desprezar os campeões de venda. Às vezes participa do jogo da mídia. Graças a esse comércio transforma seu saber em capital, e as novidades que encontra na leitura de textos, em moeda de troca. Ao tratar as ideias filosóficas como se fossem meras opiniões, isoladas de seus pressupostos ligados ao mundo, pode ser seduzido pela rigidez de ideias sem molejo, convertendo-se assim num militante doutrinário. Outras vezes, cai nas frivolidades da vida mundana. Não vejo na prática da filosofia contemporânea nenhum estímulo para que o estudioso se comprometa com uma prática moral e política mais consciente de si mesma, venha a ser mais tolerante às opiniões alheias.
Num mundo em que as coisas e as pessoas são descartáveis, a filosofia e o filósofo também se tornam dispensáveis, sempre havendo uma doutrina ou um profissional capaz de enaltecer uma trama de interesses privados. A constante exposição à mídia acaba levando o filósofo a dizer o que o grande público espera dele e, assim, também pode usufruir de seus quinze minutos de celebridade. Diante do perigo de ser engolfado pela teia de condutas que inverte o sentido original de suas práticas, o filósofo, principalmente o iniciante, se pretende ser amante de um saber autêntico, precisa não perder de vista que assumiu o compromisso de afastar-se das ideias feitas − ressecadas pela falta da seiva da reflexão − e de desconfiar das novidades espalhafatosas. Se aceita consagrar-se ao estudo das ideias, que reflita sobre o sentido de seu comportamento.
(Adaptado de: GIANNOTTI, José Arthur. Lições de filosofia primeira. São Paulo: Companhia das Letras, 2011, edição digital)
A constante exposição à mídia acaba levando o filósofo... (último parágrafo)
No segmento acima, o sinal indicativo de crase deverá ser mantido caso se substitua “mídia” por
Provas
Atenção: Considere o texto abaixo para responder a questão.
O filósofo sempre foi considerado um personagem bizarro, estranho, capaz de cair num poço quando se embrenha em suas reflexões − é o que contam a respeito de Tales (cerca de 625-547 a.C.). O primeiro filósofo, segundo a tradição grega, combina enorme senso prático para os negócios com uma capacidade de abstração que o retira do mundo. Por isso é visto como indivíduo dotado de um saber especial, admirado porque manipula ideias abstratas, importantes e divinas. No fundo não está prefigurando as oposições que desenharão o perfil do homem do Ocidente? O divino Platão e o portentoso Aristóteles fizeram desse estranhamento o autêntico espanto diante das coisas, o empuxo para a reflexão filosófica.
Nos dias de hoje essa imagem está em plena decadência; o filósofo se apresenta como um profissional competindo com tantos outros. Ninguém se importa com as promessas já inscritas no nome de sua profissão: a prometida amizade pelo saber somente se cumpre se a investigação for levada até seu limite, cair no abismo onde se perdem suas raízes. A palavra grega filosofia significa “amigo da sabedoria”, por conseguinte recusa da adesão a um saber já feito e compromisso com a busca do correto.
Em contrapartida, o filósofo contemporâneo participa do mercado de trabalho. Torna-se mais seguro conforme aumenta a venda de seus livros, embora aparente desprezar os campeões de venda. Às vezes participa do jogo da mídia. Graças a esse comércio transforma seu saber em capital, e as novidades que encontra na leitura de textos, em moeda de troca. Ao tratar as ideias filosóficas como se fossem meras opiniões, isoladas de seus pressupostos ligados ao mundo, pode ser seduzido pela rigidez de ideias sem molejo, convertendo-se assim num militante doutrinário. Outras vezes, cai nas frivolidades da vida mundana. Não vejo na prática da filosofia contemporânea nenhum estímulo para que o estudioso se comprometa com uma prática moral e política mais consciente de si mesma, venha a ser mais tolerante às opiniões alheias.
Num mundo em que as coisas e as pessoas são descartáveis, a filosofia e o filósofo também se tornam dispensáveis, sempre havendo uma doutrina ou um profissional capaz de enaltecer uma trama de interesses privados. A constante exposição à mídia acaba levando o filósofo a dizer o que o grande público espera dele e, assim, também pode usufruir de seus quinze minutos de celebridade. Diante do perigo de ser engolfado pela teia de condutas que inverte o sentido original de suas práticas, o filósofo, principalmente o iniciante, se pretende ser amante de um saber autêntico, precisa não perder de vista que assumiu o compromisso de afastar-se das ideias feitas − ressecadas pela falta da seiva da reflexão − e de desconfiar das novidades espalhafatosas. Se aceita consagrar-se ao estudo das ideias, que reflita sobre o sentido de seu comportamento.
(Adaptado de: GIANNOTTI, José Arthur. Lições de filosofia primeira. São Paulo: Companhia das Letras, 2011, edição digital)
Em relação ao trecho acima, afirma-se corretamente:
Provas
Atenção: Considere o texto abaixo para responder a questão.
O filósofo sempre foi considerado um personagem bizarro, estranho, capaz de cair num poço quando se embrenha em suas reflexões − é o que contam a respeito de Tales (cerca de 625-547 a.C.). O primeiro filósofo, segundo a tradição grega, combina enorme senso prático para os negócios com uma capacidade de abstração que o retira do mundo. Por isso é visto como indivíduo dotado de um saber especial, admirado porque manipula ideias abstratas, importantes e divinas. No fundo não está prefigurando as oposições que desenharão o perfil do homem do Ocidente? O divino Platão e o portentoso Aristóteles fizeram desse estranhamento o autêntico espanto diante das coisas, o empuxo para a reflexão filosófica.
Nos dias de hoje essa imagem está em plena decadência; o filósofo se apresenta como um profissional competindo com tantos outros. Ninguém se importa com as promessas já inscritas no nome de sua profissão: a prometida amizade pelo saber somente se cumpre se a investigação for levada até seu limite, cair no abismo onde se perdem suas raízes. A palavra grega filosofia significa “amigo da sabedoria”, por conseguinte recusa da adesão a um saber já feito e compromisso com a busca do correto.
Em contrapartida, o filósofo contemporâneo participa do mercado de trabalho. Torna-se mais seguro conforme aumenta a venda de seus livros, embora aparente desprezar os campeões de venda. Às vezes participa do jogo da mídia. Graças a esse comércio transforma seu saber em capital, e as novidades que encontra na leitura de textos, em moeda de troca. Ao tratar as ideias filosóficas como se fossem meras opiniões, isoladas de seus pressupostos ligados ao mundo, pode ser seduzido pela rigidez de ideias sem molejo, convertendo-se assim num militante doutrinário. Outras vezes, cai nas frivolidades da vida mundana. Não vejo na prática da filosofia contemporânea nenhum estímulo para que o estudioso se comprometa com uma prática moral e política mais consciente de si mesma, venha a ser mais tolerante às opiniões alheias.
Num mundo em que as coisas e as pessoas são descartáveis, a filosofia e o filósofo também se tornam dispensáveis, sempre havendo uma doutrina ou um profissional capaz de enaltecer uma trama de interesses privados. A constante exposição à mídia acaba levando o filósofo a dizer o que o grande público espera dele e, assim, também pode usufruir de seus quinze minutos de celebridade. Diante do perigo de ser engolfado pela teia de condutas que inverte o sentido original de suas práticas, o filósofo, principalmente o iniciante, se pretende ser amante de um saber autêntico, precisa não perder de vista que assumiu o compromisso de afastar-se das ideias feitas − ressecadas pela falta da seiva da reflexão − e de desconfiar das novidades espalhafatosas. Se aceita consagrar-se ao estudo das ideias, que reflita sobre o sentido de seu comportamento.
(Adaptado de: GIANNOTTI, José Arthur. Lições de filosofia primeira. São Paulo: Companhia das Letras, 2011, edição digital)
Provas
Caderno Container