Magna Concursos

Foram encontradas 40 questões.

TEXTO II



INAUGURAL

Gostaria de estrear neste espaço, em que escrevem tantas pessoas talentosas, com um texto que fosse um primor. Um texto – como direi? – redondo, completo. Que tocasse o jornaleiro, primeiro a carregar o jornal pelas ruas, tocasse a dona de casa, os jovens, os velhos, os pobres, os ricos ( mas homens sérios, distantes e duros, que só discutem dinheiro, eu não sei se ia conseguir tocar). E que todos dissessem depois, aos quatro ventos: “Que texto bom! Música para os meus ouvidos! Era isso mesmo o que eu queria dizer”.

Infelizmente, não chego a tanto. Estamos em maio, o verde começa a secar, estridentes e violentos são os barulhos que vêm do mundo, vivemos dias ensandecidos. Além disso, bem pouco sei. Não possuo aquele cabedal de conhecimentos que elevam o espírito e enchem de orgulho a nação. Tampouco costumo escrever coisas edificantes, com lições de moral e instruções sobre o correto proceder.

Tentarei, no entanto, dar o melhor “de si”, como diriam alguns. Labutarei em cada linha, em cada palavra para ser digna dessa tarefa e à altura dos que a dividem comigo. Não fugirei ao dever de comentar com certa amenidade os acontecimentos cotidianos; não serei jamais tão pessimista que traga desconsolo aos leitores, nem tão jubilosa que pareça falsa. Meus escritos se pautarão pelo bom senso, essa instância da sabedoria que o tempo nos traz. Direi muitas coisas, algumas talvez certas e outras que não terão a menor importância. Não me lamentarei, não correrão lágrimas pelo teclado do computador. E, mesmo assim, pretendo ser verdadeira, sabendo que, se não o for todos perceberão. “Sê fiel a ti mesmo”, já dizia Polonius.

(BUFAIÇAL.Maria Lúcia Félix. Um olhar goiano refletido em 48 crônicas selecionadas. Goiânia: ed. O Popular. sd. e-book. (https://d335luupugsy2.cloudfront.net/cms%2Ffiles%2F13223%- 2F1618233179e-book_cronicas_v_find_2.pdf)

Analise as palavras abaixo e marque a alternativa na qual todas elas apresentam dígrafos:
 

Provas

Questão presente nas seguintes provas

TEXTO II



INAUGURAL

Gostaria de estrear neste espaço, em que escrevem tantas pessoas talentosas, com um texto que fosse um primor. Um texto – como direi? – redondo, completo. Que tocasse o jornaleiro, primeiro a carregar o jornal pelas ruas, tocasse a dona de casa, os jovens, os velhos, os pobres, os ricos ( mas homens sérios, distantes e duros, que só discutem dinheiro, eu não sei se ia conseguir tocar). E que todos dissessem depois, aos quatro ventos: “Que texto bom! Música para os meus ouvidos! Era isso mesmo o que eu queria dizer”.

Infelizmente, não chego a tanto. Estamos em maio, o verde começa a secar, estridentes e violentos são os barulhos que vêm do mundo, vivemos dias ensandecidos. Além disso, bem pouco sei. Não possuo aquele cabedal de conhecimentos que elevam o espírito e enchem de orgulho a nação. Tampouco costumo escrever coisas edificantes, com lições de moral e instruções sobre o correto proceder.

Tentarei, no entanto, dar o melhor “de si”, como diriam alguns. Labutarei em cada linha, em cada palavra para ser digna dessa tarefa e à altura dos que a dividem comigo. Não fugirei ao dever de comentar com certa amenidade os acontecimentos cotidianos; não serei jamais tão pessimista que traga desconsolo aos leitores, nem tão jubilosa que pareça falsa. Meus escritos se pautarão pelo bom senso, essa instância da sabedoria que o tempo nos traz. Direi muitas coisas, algumas talvez certas e outras que não terão a menor importância. Não me lamentarei, não correrão lágrimas pelo teclado do computador. E, mesmo assim, pretendo ser verdadeira, sabendo que, se não o for todos perceberão. “Sê fiel a ti mesmo”, já dizia Polonius.

(BUFAIÇAL.Maria Lúcia Félix. Um olhar goiano refletido em 48 crônicas selecionadas. Goiânia: ed. O Popular. sd. e-book. (https://d335luupugsy2.cloudfront.net/cms%2Ffiles%2F13223%- 2F1618233179e-book_cronicas_v_find_2.pdf)

Considere a frase : “(...) vivemos dias ensandecidos.” O vocábulo “ensandecidos”, neste contexto, pode ser substituído sem prejuízo de significado por:
 

Provas

Questão presente nas seguintes provas

TEXTO II



INAUGURAL

Gostaria de estrear neste espaço, em que escrevem tantas pessoas talentosas, com um texto que fosse um primor. Um texto – como direi? – redondo, completo. Que tocasse o jornaleiro, primeiro a carregar o jornal pelas ruas, tocasse a dona de casa, os jovens, os velhos, os pobres, os ricos ( mas homens sérios, distantes e duros, que só discutem dinheiro, eu não sei se ia conseguir tocar). E que todos dissessem depois, aos quatro ventos: “Que texto bom! Música para os meus ouvidos! Era isso mesmo o que eu queria dizer”.

Infelizmente, não chego a tanto. Estamos em maio, o verde começa a secar, estridentes e violentos são os barulhos que vêm do mundo, vivemos dias ensandecidos. Além disso, bem pouco sei. Não possuo aquele cabedal de conhecimentos que elevam o espírito e enchem de orgulho a nação. Tampouco costumo escrever coisas edificantes, com lições de moral e instruções sobre o correto proceder.

Tentarei, no entanto, dar o melhor “de si”, como diriam alguns. Labutarei em cada linha, em cada palavra para ser digna dessa tarefa e à altura dos que a dividem comigo. Não fugirei ao dever de comentar com certa amenidade os acontecimentos cotidianos; não serei jamais tão pessimista que traga desconsolo aos leitores, nem tão jubilosa que pareça falsa. Meus escritos se pautarão pelo bom senso, essa instância da sabedoria que o tempo nos traz. Direi muitas coisas, algumas talvez certas e outras que não terão a menor importância. Não me lamentarei, não correrão lágrimas pelo teclado do computador. E, mesmo assim, pretendo ser verdadeira, sabendo que, se não o for todos perceberão. “Sê fiel a ti mesmo”, já dizia Polonius.

(BUFAIÇAL.Maria Lúcia Félix. Um olhar goiano refletido em 48 crônicas selecionadas. Goiânia: ed. O Popular. sd. e-book. (https://d335luupugsy2.cloudfront.net/cms%2Ffiles%2F13223%- 2F1618233179e-book_cronicas_v_find_2.pdf)

Analise as palavras abaixo e marque a alternativa que apresenta todas elas acentuadas pela mesma regra de acentuação gráfica:
 

Provas

Questão presente nas seguintes provas

TEXTO II



INAUGURAL

Gostaria de estrear neste espaço, em que escrevem tantas pessoas talentosas, com um texto que fosse um primor. Um texto – como direi? – redondo, completo. Que tocasse o jornaleiro, primeiro a carregar o jornal pelas ruas, tocasse a dona de casa, os jovens, os velhos, os pobres, os ricos ( mas homens sérios, distantes e duros, que só discutem dinheiro, eu não sei se ia conseguir tocar). E que todos dissessem depois, aos quatro ventos: “Que texto bom! Música para os meus ouvidos! Era isso mesmo o que eu queria dizer”.

Infelizmente, não chego a tanto. Estamos em maio, o verde começa a secar, estridentes e violentos são os barulhos que vêm do mundo, vivemos dias ensandecidos. Além disso, bem pouco sei. Não possuo aquele cabedal de conhecimentos que elevam o espírito e enchem de orgulho a nação. Tampouco costumo escrever coisas edificantes, com lições de moral e instruções sobre o correto proceder.

Tentarei, no entanto, dar o melhor “de si”, como diriam alguns. Labutarei em cada linha, em cada palavra para ser digna dessa tarefa e à altura dos que a dividem comigo. Não fugirei ao dever de comentar com certa amenidade os acontecimentos cotidianos; não serei jamais tão pessimista que traga desconsolo aos leitores, nem tão jubilosa que pareça falsa. Meus escritos se pautarão pelo bom senso, essa instância da sabedoria que o tempo nos traz. Direi muitas coisas, algumas talvez certas e outras que não terão a menor importância. Não me lamentarei, não correrão lágrimas pelo teclado do computador. E, mesmo assim, pretendo ser verdadeira, sabendo que, se não o for todos perceberão. “Sê fiel a ti mesmo”, já dizia Polonius.

(BUFAIÇAL.Maria Lúcia Félix. Um olhar goiano refletido em 48 crônicas selecionadas. Goiânia: ed. O Popular. sd. e-book. (https://d335luupugsy2.cloudfront.net/cms%2Ffiles%2F13223%- 2F1618233179e-book_cronicas_v_find_2.pdf)

Analise o trecho: “Música para os meus ouvidos!” Marque a alternativa que apresenta a classe gramatical das palavras respectivamente:
 

Provas

Questão presente nas seguintes provas

TEXTO II



INAUGURAL

Gostaria de estrear neste espaço, em que escrevem tantas pessoas talentosas, com um texto que fosse um primor. Um texto – como direi? – redondo, completo. Que tocasse o jornaleiro, primeiro a carregar o jornal pelas ruas, tocasse a dona de casa, os jovens, os velhos, os pobres, os ricos ( mas homens sérios, distantes e duros, que só discutem dinheiro, eu não sei se ia conseguir tocar). E que todos dissessem depois, aos quatro ventos: “Que texto bom! Música para os meus ouvidos! Era isso mesmo o que eu queria dizer”.

Infelizmente, não chego a tanto. Estamos em maio, o verde começa a secar, estridentes e violentos são os barulhos que vêm do mundo, vivemos dias ensandecidos. Além disso, bem pouco sei. Não possuo aquele cabedal de conhecimentos que elevam o espírito e enchem de orgulho a nação. Tampouco costumo escrever coisas edificantes, com lições de moral e instruções sobre o correto proceder.

Tentarei, no entanto, dar o melhor “de si”, como diriam alguns. Labutarei em cada linha, em cada palavra para ser digna dessa tarefa e à altura dos que a dividem comigo. Não fugirei ao dever de comentar com certa amenidade os acontecimentos cotidianos; não serei jamais tão pessimista que traga desconsolo aos leitores, nem tão jubilosa que pareça falsa. Meus escritos se pautarão pelo bom senso, essa instância da sabedoria que o tempo nos traz. Direi muitas coisas, algumas talvez certas e outras que não terão a menor importância. Não me lamentarei, não correrão lágrimas pelo teclado do computador. E, mesmo assim, pretendo ser verdadeira, sabendo que, se não o for todos perceberão. “Sê fiel a ti mesmo”, já dizia Polonius.

(BUFAIÇAL.Maria Lúcia Félix. Um olhar goiano refletido em 48 crônicas selecionadas. Goiânia: ed. O Popular. sd. e-book. (https://d335luupugsy2.cloudfront.net/cms%2Ffiles%2F13223%- 2F1618233179e-book_cronicas_v_find_2.pdf)

Considere a leitura integral do texto “Inaugural” e marque as funções de linguagem predominantes nele:
 

Provas

Questão presente nas seguintes provas

TEXTO I

Enunciado 4423377-1

(blogdoaftm.com.br.manual da (nova) politica.

Acesso em: 4.set.2025).

Analise a frase “Como eu faço...” e marque a classe e a função que o vocábulo “como” ocupa nesse contexto:
 

Provas

Questão presente nas seguintes provas

TEXTO I

Enunciado 4423376-1

(blogdoaftm.com.br.manual da (nova) politica.

Acesso em: 4.set.2025).

Marque a alternativa correta sobre a função dos vocábulos, “ontem” e “hoje”, no contexto dessa charge:
 

Provas

Questão presente nas seguintes provas

TEXTO I

Enunciado 4423375-1

(blogdoaftm.com.br.manual da (nova) politica.

Acesso em: 4.set.2025).

O gênero textual charge, geralmente, é usado com a intenção de fazer crítica e provocar humor. A intencionalidade do texto acima é:
 

Provas

Questão presente nas seguintes provas

Os rios sempre correm de lugares de maior altitude para lugares de menor altitude. Suas águas retiram sedimentos das partes mais altas (dos planaltos, por exemplo) e os depositam nas partes mais baixas (como as planícies). A área ocupada por um rio principal e seus afluentes é chamada bacia hidrogáfica.

Sobre esse tema, leia as afirmações a seguir e identifique-as como Falsas (F) ou Verdadeiras (V).

Então, marque a alternativa que contém a sequencia correta quanto à falsidade ou veracidade das afirmações.

( ) No Estado de Goiás, todos os principais rios correm para o Norte e fazem parte da bacia hidrográfica do Rio Paranã.

( ) No Município de Catalão, todos os principais rios correm para o Sul e fazem parte da bacia hidrográfica do Rio Paranaíba.

( ) As bacias hidrográficas do Araguaia e Tocantins nascem no Planalto Central e fluem no sentido longitudinal em direção ao Norte.

( ) Às margens do Rio Vermelho, afluente do Rio Araguaia, no município de Goiás, está localizado o Marco Zero do Estado de Goiás, por ser o local onde o bandeirante Bartolomeu Bueno da Silva, o Moço, usou a artimanha do prato de aguardente com fogo para impressionar os nativos, ameaçando fazer o mesmo com seus rios.

Questão Anulada

Provas

Questão presente nas seguintes provas

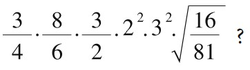
Qual o valor da expressão numérica:

Enunciado 4423386-1

Questão Anulada

Provas

Questão presente nas seguintes provas