Foram encontradas 50 questões.
Considere a figura e as informações dadas para responder à questão.

Os diagramas sequenciais ilustrados descrevem o circuito equivalente de um sistema de potência visto pela barra 10. Os valores de tensões e impedâncias são dados em [p.u.].
Assinale a alternativa que apresenta corretamente a corrente de defeito na fase A, quando a barra 10 é submetida a um curto-circuito entre a fase A e a terra, com impedância de falta de j.0,01 [p.u.].
Provas
Questão presente nas seguintes provas
É dado o seguinte sistema elétrico:

Na barra A são injetados 100 [MW] no sistema e na barra B são injetados 200 [MW]. As barras de carga C e D consomem 150 [MW] cada uma. Há ainda transferência de potência da barra B para a barra A de 100 [MW]. Sendo assim, pode-se afirmar que
Provas
Questão presente nas seguintes provas
Um motor trifásico de indução possui reatância de curto-circuito de j.0,01 [p.u.], resistência de perdas nos enrolamentos desprezível, reatância de magnetização muito elevada e perdas no ferro desprezíveis. Assinale a alternativa que apresenta corretamente a corrente de partida desse motor.
Provas
Questão presente nas seguintes provas
Dadas as potências complexas de curto-circuito trifásica e fase-terra em uma dada barra de um sistema de potência, como sendo !$ S_{3\phi} = 1,2 + j.1,6 [p.u.] !$ e !$ S_{1\phi} = 0,72 + j.0,96 [p.u.] !$ respectivamente, as impedâncias sequenciais equivalentes dessa barra em [p.u.] são:
Provas
Questão presente nas seguintes provas
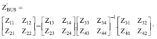
É dada a seguinte equação matricial:

A aplicação da Redução de Kron para a eliminação dos nós 3 e 4 (a 3.ª e 4.ª linhas da matriz ZBUS , respectivamente) resulta em
Provas
Questão presente nas seguintes provas
Sabe-se que Z012 = [T]–1.ZABC.[T], onde [T] é a matriz de transformação de componentes simétricas, Z012 é a matriz de impedância-série do sistema em componentes sequenciais e ZABC é a matriz de impedância-série de uma linha transposta em componentes de fase. Dado que Z0, Z1 e Z2 são os valores das impedâncias próprias em componentes sequenciais e valem, respectivamente, (5+j4) !$ [\Omega] !$, (2+j1) !$ [\Omega] !$ e (2+j1) !$ [\Omega] !$, então o valor da matriz ZABC é
Provas
Questão presente nas seguintes provas
É dado um circuito monofásico com uma fonte de tensão alternada ligada a uma carga através de uma linha. São dados:
- o fasor da corrente no circuito em p.u. i= 1 < 0º p.u.
- a impedância da linha !$ \overline {Z} = \sqrt {2} + j \sqrt {2} [\Omega] !$
- uma carga com:
Potência nominal = SN= 80 [kVA]
Fator de potência = cos
indutivo
indutivo
Tensão nominal = VN = 400 [V]
Modelando-se a carga como impedância constante e utilizando- se SN como potência de base e VN como tensão de base, pode-se dizer que o fasor de tensão do gerador (em p.u.) necessário para manter a tensão nominal sobre a carga é
Provas
Questão presente nas seguintes provas
A rede mostrada a seguir possui um transformador B com comutador em derivação ajustável em seu secundário, em intervalos de 1% entre +10% e –10%. Qual é o valor do TAP para que a corrente de circulação seja, aproximadamente, zero quando a corrente de carga IL for nula.

São dados:
- Transformador TA: Estrela-Delta, 13,8:138 [kV], 100 MVA, zcc = 6%;
- Transformador TB: Delta-Estrela, 138,0:14,5 [kV], 80 MVA, zcc = 8%;
- Barra I: tensão nominal 13,8 [kV];
- Linhas L1 e L2: zcc = 5%, 100 MVA.
Provas
Questão presente nas seguintes provas
Uma linha de transmissão trifásica, idealmente transposta, apresenta as seguintes tensões e correntes como mostrado na figura a seguir.

Sabendo-se que as tensões e correntes envolvidas são trifásicas, simétricas e equilibradas, !$ \dot {V}_{AN}= 120 < 90^\circ [kV] !$, !$ \dot {V}_{AN} = 111 < 90^\circ , \dot {I}_A = 100 < 0^\circ !$, o módulo da reatância própria da linha é !$ X_L = 0,1 [\Omega] !$ e a resistência da linha é desprezível, o módulo da reatância mútua entre fases é:
Provas
Questão presente nas seguintes provas
Dado um transformador trifásico com impedância de curto circuito referida ao secundário de !$ Z_{cc} = 0,08 [\Omega], !$ potência ativa nominal de 100,0 [MW], fator de potência nominal de 0,8, tensão no primário de 138,0 [kV] e no secundário de 13,8 [kV]. Admirindo-se !$ 13,8^2 \approx 200 !$, para esse transformador a impedância de curto-circulo em p.u é, aproximadamente, de
Provas
Questão presente nas seguintes provas
Cadernos
Caderno Container