Magna Concursos

Foram encontradas 194 questões.

836840 Ano: 2014
Disciplina: Engenharia Elétrica
Banca: VUNESP
Orgão: SAP-SP
Provas:
Sistemas elétricos trifásicos possuem diversos tipos de aterramento. Sendo assim, assinale a alternativa correta.
 

Provas

Questão presente nas seguintes provas
836839 Ano: 2014
Disciplina: Engenharia Elétrica
Banca: VUNESP
Orgão: SAP-SP
Provas:
Um transformador monofásico possui os seguintes dados de placa:
• Potência nominal: 50 [kVA]; • Tensão nominal no primário: 13,8 [kV] • Tensão nominal no secundário: 127 [V] • Impedância de curto-circuito: 0,1 + j·0,05 [p.u.] • Impedância equivalente do ramo magnetizante: 25 + j·40 [p.u.]
Assinale a alternativa que apresenta corretamente a impedância de curto-circuito desse transformador, em [Ω], referida ao lado de baixa tensão.
 

Provas

Questão presente nas seguintes provas
836838 Ano: 2014
Disciplina: Engenharia Elétrica
Banca: VUNESP
Orgão: SAP-SP
Provas:
Considere uma subestação de distribuição que fornece energia para duas cargas puramente resistivas e distintas, X e Y. Essas cargas são conectadas em paralelo e ambas são conectadas à subestação, por meio de uma linha de distribuição de resistência 1 [Ω]. A tensão na saída da subestação é 1000 [V], a primeira carga consome potência constante de 10000 [W] e a segunda carga possui impedância constante de 100 [Ω]. Nesse contexto, assinale a alternativa que apresenta, correta e respectivamente, as correntes que circulam pelas cargas X e Y.
 

Provas

Questão presente nas seguintes provas
836837 Ano: 2014
Disciplina: Engenharia Elétrica
Banca: VUNESP
Orgão: SAP-SP
Provas:
O circuito elétrico equivalente de um gerador síncrono trifásico de polos lisos é constituído por uma reatância síncrona de 10 [Ω] e uma resistência de armadura de 1 [Ω]. Quando o enrolamento de campo desse gerador é percorrido por uma corrente de excitação de 100 [A], a força eletromotriz de linha induzida na armadura é de 22000 [V]. Dado que os enrolamentos de armadura do gerador em questão estão conectados em estrela e que esse gerador alimenta uma carga resistiva trifásica equilibrada e conectada em estrela, assinale a alternativa que apresenta aproximadamente a corrente de fase fornecida pelo gerador. Para tanto, considere que a impedância de carga, por fase, é 9 [Ω] (Obs.: √6 = 2,45).
 

Provas

Questão presente nas seguintes provas
836836 Ano: 2014
Disciplina: Engenharia Elétrica
Banca: VUNESP
Orgão: SAP-SP
Provas:
Assinale a alternativa correta, acerca da segurança em manutenção de instalações elétricas.
 

Provas

Questão presente nas seguintes provas
836835 Ano: 2014
Disciplina: Engenharia Elétrica
Banca: VUNESP
Orgão: SAP-SP
Provas:
A proteção contra choques elétricos em instalações elétricas de baixa tensão pode ser atingida utilizando-se medidas simples de segurança. Nesse contexto, assinale a alternativa correta.
 

Provas

Questão presente nas seguintes provas
836834 Ano: 2014
Disciplina: Engenharia Elétrica
Banca: VUNESP
Orgão: SAP-SP
Provas:
Uma carga trifásica, simétrica e equilibrada é ligada em estrela. A impedância de cada fase da carga é 12 [Ω] e o centro estrela é aterrado por uma reatância indutiva de valor 4 [Ω]. Assinale a alternativa que apresenta, correta e respectivamente, as impedâncias de sequência positiva, negativa e zero dessa carga.
 

Provas

Questão presente nas seguintes provas
836833 Ano: 2014
Disciplina: Engenharia Elétrica
Banca: VUNESP
Orgão: SAP-SP
Provas:
O estudo de redes interligadas utilizando valores por unidade pode se tornar um pouco mais complexo, visto que a adoção de valores de base arbitrários para todos os transformadores dessas redes não é possível. Sendo assim, é necessário fazer o uso do modelo do autotransformador para representar todos os transformadores nessas condições, respeitando a relação entre as bases adotadas arbitrariamente e as tensões nos enrolamentos primário e secundário desses transformadores. Para tanto, considere um transformador cujos dados são:
• Potência nominal: 1 [MVA] • Tensão no primário: 75 [kV] • Tensão no secundário: 25 [kV]
Dado que a potência de base é 1 [MVA] e que as tensões de base são 75 [kV] e 20 [kV], assinale a alternativa que apresenta corretamente a relação de transformação do autotransformador que deve ser utilizada para representar esse transformador.
 

Provas

Questão presente nas seguintes provas
836832 Ano: 2014
Disciplina: Engenharia Elétrica
Banca: VUNESP
Orgão: SAP-SP
Provas:

Considere o enunciado a seguir para responder à questão.

O equivalente de Thévenin em uma barra genérica de um sistema trifásico (ABC) solidamente aterrado é composto por uma fonte de tensão de sequência positiva, igual a 1 [p.u.] e uma matriz de impedâncias série simétrica, cujas impedâncias próprias são iguais a 0,01 + j·0,05 [p.u.] e impedâncias mútuas são iguais a j·0,01 [p.u.].

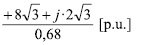
Supondo que o sistema em questão esteja submetido a um curto-circuito dupla-fase franco (BC) nessa barra, assinale a alternativa que apresenta a corrente de curto-circuito na fase B.
 

Provas

Questão presente nas seguintes provas
836831 Ano: 2014
Disciplina: Engenharia Elétrica
Banca: VUNESP
Orgão: SAP-SP
Provas:

Considere o enunciado a seguir para responder à questão.

O equivalente de Thévenin em uma barra genérica de um sistema trifásico (ABC) solidamente aterrado é composto por uma fonte de tensão de sequência positiva, igual a 1 [p.u.] e uma matriz de impedâncias série simétrica, cujas impedâncias próprias são iguais a 0,01 + j·0,05 [p.u.] e impedâncias mútuas são iguais a j·0,01 [p.u.].

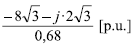
Supondo que o sistema em questão esteja submetido a um curto-circuito dupla-fase-terra franco (BCN) nessa barra, assinale a alternativa que apresenta a corrente de curto-circuito de sequência zero.
 

Provas

Questão presente nas seguintes provas