Foram encontradas 194 questões.
O circuito elétrico responsável pela alimentação de cargas
industriais utiliza condutores que suportam corrente de curto-circuito
de 100 [A] por até 300 [ms]. Assinale a alternativa
que apresenta corretamente o melhor disjuntor que pode
ser utilizado para proteger o circuito em questão.
Provas
Questão presente nas seguintes provas
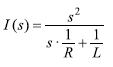
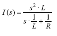
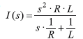
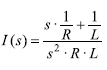
Um circuito elétrico composto por um indutor em paralelo
com um resistor é conectado a uma fonte de tensão cujo sinal
pode ser representado pelo degrau unitário. Esse circuito
encontra-se em condições iniciais quiescentes, o resistor
possui resistência R e o indutor possui indutância L. Assinale
a alternativa que apresenta corretamente o valor da corrente
fornecida pela fonte de tensão, no domínio da frequência.
Provas
Questão presente nas seguintes provas
O projeto de luminotécnica de uma edificação comercial
estabelece que o nível de iluminamento mínimo para o
atendimento às normas vigentes seja 250 [lux]. Esse recinto
tem área de 400 [m2
], a altura entre o plano de trabalho e o
ponto de conexão dos aparelhos de iluminação é de 5 [m] e o
fator de depreciação é 0,8. Além disso, o projeto em questão
indica três opções de lâmpadas distintas, o número total de
lâmpadas para cada opção e o fator de utilização de cada
luminária que acompanha os tipos de lâmpadas.

Dentre as opções apresentadas no projeto, pode-se afirmar que

Dentre as opções apresentadas no projeto, pode-se afirmar que
Provas
Questão presente nas seguintes provas
Uma instalação bifásica 127/220 [V] – 60 [Hz] (F1+F2+N)
possui a lista de cargas descrita na tabela, que consolida cargas
agrupadas por circuitos pertencentes a essa instalação.

Assinale a alternativa que descreve o planejamento adequado dessa instalação, no que se refere ao seu equilíbrio de cargas.

Assinale a alternativa que descreve o planejamento adequado dessa instalação, no que se refere ao seu equilíbrio de cargas.
Provas
Questão presente nas seguintes provas
Uma carga elétrica industrial possui o regime de trabalho ilustrado no gráfico.

Provas
Questão presente nas seguintes provas
O cálculo elétrico de instalações elétricas de baixa tensão
permite que o engenheiro eletricista, responsável pelo projeto,
possa determinar o valor da capacidade dos componentes
do sistema. Nesse contexto, a tabela apresenta detalhes
sobre a curva de carga de uma instalação hipotética.

Nesse contexto, assinale a alternativa que apresenta a demanda máxima da instalação e a energia consumida durante o período de um dia.

Nesse contexto, assinale a alternativa que apresenta a demanda máxima da instalação e a energia consumida durante o período de um dia.
Provas
Questão presente nas seguintes provas
Um motor de indução do tipo gaiola de esquilo foi submetido
aos ensaios para caracterização do seu circuito elétrico equivalente
e parte dos resultados foram apresentados na tabela.
Tabela: Ensaio de rotor travado

Nesse contexto, assinale a alternativa que apresenta aproximadamente a impedância de curto-circuito por fase desse motor.
Tabela: Ensaio de rotor travado

Nesse contexto, assinale a alternativa que apresenta aproximadamente a impedância de curto-circuito por fase desse motor.
Provas
Questão presente nas seguintes provas
Uma carga monofásica consome potência constante P = 8[kW]
com fator de potência unitário e está conectada a uma linha de
transmissão monofásica, que pode ser representada por uma
impedância
= 1[Ω]. Assinale a alternativa que apresenta
corretamente a corrente que circula por essa carga, quando a
linha de transmissão é alimentada por uma fonte de tensão de
1000 [V]. Para tanto, represente a tensão de alimentação da
carga, utilizando apenas números inteiros.
= 1[Ω]. Assinale a alternativa que apresenta
corretamente a corrente que circula por essa carga, quando a
linha de transmissão é alimentada por uma fonte de tensão de
1000 [V]. Para tanto, represente a tensão de alimentação da
carga, utilizando apenas números inteiros.Provas
Questão presente nas seguintes provas
A figura ilustra um sistema de potência interligado, que possui
usinas de geração e centros de carga.

Assinale a alternativa que apresenta, correta e respectivamente, o valor das potências P e Q indicadas na figura, considerando que as linhas de transmissão são ideais, sem perdas, e que o sistema se encontra em regime permanente.

Assinale a alternativa que apresenta, correta e respectivamente, o valor das potências P e Q indicadas na figura, considerando que as linhas de transmissão são ideais, sem perdas, e que o sistema se encontra em regime permanente.
Provas
Questão presente nas seguintes provas
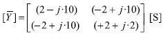
A matriz de admitâncias nodais de um circuito elétrico é:

Provas
Questão presente nas seguintes provas
Cadernos
Caderno Container