Foram encontradas 194 questões.
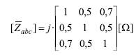
Uma linha de transmissão possui três condutores de fase e
um cabo-guarda aterrado. A matriz de impedâncias dessa
linha, considerando a configuração descrita é:

Assinale a alternativa que apresenta aproximadamente a matriz de impedâncias equivalente dessa linha de transmissão, que inclui o efeito do cabo-guarda, após a redução de Kron.

Assinale a alternativa que apresenta aproximadamente a matriz de impedâncias equivalente dessa linha de transmissão, que inclui o efeito do cabo-guarda, após a redução de Kron.
Provas
Questão presente nas seguintes provas
Um programa de computador, que é capaz de efetuar a
análise nodal de sistemas elétricos em regime permanente
senoidal, utiliza como dados de entrada uma tabela. O formato
dessa tabela é padronizado de acordo com as seguintes
regras:
• Coluna 1: nó inicial de conexão do bipolo; • Coluna 2: nó final de conexão do bipolo; • Coluna 3: tipo de bipolo conectado entre os nós inicial e final; e • Coluna 4: propriedades físicas do bipolo definido na coluna 3.
Para a análise de um circuito em corrente alternada, alimentado com fontes de frequência angular igual a 100 [rad/s], foi montada a seguinte tabela.

Dado que o nó de referência é o nó X, assinale a alternativa que apresenta corretamente a matriz de admitâncias do circuito descrito pela tabela, considerando que a ordem dos nós utilizada para a montagem é Y, Z e W.
• Coluna 1: nó inicial de conexão do bipolo; • Coluna 2: nó final de conexão do bipolo; • Coluna 3: tipo de bipolo conectado entre os nós inicial e final; e • Coluna 4: propriedades físicas do bipolo definido na coluna 3.
Para a análise de um circuito em corrente alternada, alimentado com fontes de frequência angular igual a 100 [rad/s], foi montada a seguinte tabela.

Dado que o nó de referência é o nó X, assinale a alternativa que apresenta corretamente a matriz de admitâncias do circuito descrito pela tabela, considerando que a ordem dos nós utilizada para a montagem é Y, Z e W.
Provas
Questão presente nas seguintes provas
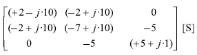
A matriz de admitâncias nodais de um circuito elétrico é:

Provas
Questão presente nas seguintes provas
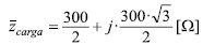
Uma carga desequilibrada está conectada em estrela, com
o centro-estrela aterrado solidamente. Essa carga possui a
matriz de impedâncias

Assinale a alternativa que apresenta corretamente o elemento
da matriz de impedâncias dessa carga, em componentes
simétricas.

Assinale a alternativa que apresenta corretamente o elemento
da matriz de impedâncias dessa carga, em componentes
simétricas.Provas
Questão presente nas seguintes provas
Uma fonte trifásica, assimétrica e de sequência positiva (ABC)
possui as tensões de fase apresentadas na tabela.

Assinale a alternativa que apresenta, correta e respectivamente, as componentes de sequência zero e negativa dessas tensões de fase.

Assinale a alternativa que apresenta, correta e respectivamente, as componentes de sequência zero e negativa dessas tensões de fase.
Provas
Questão presente nas seguintes provas
Um engenheiro eletricista efetuou medições de tensões, correntes
e potências em um sistema trifásico. Os resultados
foram registrados na tabela.

Com base na tabela, assinale a alternativa que apresenta aproximadamente o valor da corrente de linha iC

Com base na tabela, assinale a alternativa que apresenta aproximadamente o valor da corrente de linha iC
Provas
Questão presente nas seguintes provas
Uma linha de transmissão trifásica e curta possui dois terminais,
o terminal local e o terminal remoto. Uma fonte de
tensão trifásica, simétrica e de sequência direta (ABC) está
conectada ao terminal local da linha de transmissão e apenas
uma carga monofásica está conectada na fase A do terminal
remoto dessa mesma linha de transmissão. Dados:
• A fonte está conectada em estrela solidamente aterrada • A carga está conectada entre fase e neutro • Fasor da tensão na fase A da fonte: 100 [V] • Corrente na fase A da fonte: 2∠ –30° [A] • Matriz de impedâncias equivalente da linha de transmissão:

Nesse contexto, assinale a alternativa que apresenta corretamente a tensão na fase B do terminal remoto dessa linha de transmissão.
• A fonte está conectada em estrela solidamente aterrada • A carga está conectada entre fase e neutro • Fasor da tensão na fase A da fonte: 100 [V] • Corrente na fase A da fonte: 2∠ –30° [A] • Matriz de impedâncias equivalente da linha de transmissão:

Nesse contexto, assinale a alternativa que apresenta corretamente a tensão na fase B do terminal remoto dessa linha de transmissão.
Provas
Questão presente nas seguintes provas
Uma fonte trifásica, simétrica e de sequência direta (ABC),
possui tensão de linha
AB = 100 [V] Essa fonte é responsável
pela alimentação de duas cargas monofásicas conectadas
entre os seus terminas, conforme ilustrado na figura.

Provas
Questão presente nas seguintes provas
Uma fonte trifásica, simétrica e de sequência direta (ABC),
cujo fasor da tensão de fase na fase A é 100 [V], está conectada
em estrela. Essa fonte é responsável pela alimentação de
uma carga, que é conectada em triângulo. A impedância de
fase da carga é:

Nesse contexto, assinale a alternativa que apresenta corretamente a corrente de fase na carga.

Nesse contexto, assinale a alternativa que apresenta corretamente a corrente de fase na carga.
Provas
Questão presente nas seguintes provas
Uma fonte trifásica, simétrica e de sequência direta (ABC),
cujo fasor da tensão de fase na fase A é 100 [V], está conectada
em estrela. Essa fonte é responsável pela alimentação de
uma carga, que é conectada em triângulo. A impedância da
carga é:

Nesse contexto, assinale a alternativa que apresenta corretamente a corrente na fase A da fonte.

Nesse contexto, assinale a alternativa que apresenta corretamente a corrente na fase A da fonte.
Provas
Questão presente nas seguintes provas
Cadernos
Caderno Container