Foram encontradas 38 questões.
A respeito do Sistema Internacional de Unidades (SI),
analise os itens apresentados a seguir:
I. O SI é um sistema coerente de unidades de medidas com seis unidades base, a saber: o segundo (s) para o tempo, o metro (m) para o comprimento, o quilograma (kg) para a massa, o ampere (A) para a corrente elétrica, o kelvin (K) para a temperatura termodinâmica e a candela (cd) para a intensidade luminosa.
II. O SI é adotado pela maior parte dos países no mundo, exceto por alguns países que utilizam outros sistemas não métricos, sistemas mistos (métrico + imperial) ou onde não é possível determinar qual sistema usam de fato. Atualmente o SI é coordenado pelo Bureau Internacional de Pesos e Unidades (BIPU).
III. No SI, o metro é definido como equivalente a 1.650.763,73 comprimentos de onda de luz vermelho-alaranjada de uma transição atômica hiperfina do criptônio-86 emitida em um tubo de descarga gasosa.
IV. A candela é a unidade de intensidade luminosa padrão no Sl e sua origem histórica refere-se ao brilho de uma chama de uma vela padrão, que emitia 1 cd por definição, e era feita cera de espermacete, substância encontrada na cabeça da baleia cachalote. Atualmente, a candela é definida no SI por meio da eficácia luminosa da radiação monocromática de frequência 540 x 1012 Hz.
V. O angstrom e o bar são unidades derivadas que fazem parte do SI.
É correto o que se afirma em:
I. O SI é um sistema coerente de unidades de medidas com seis unidades base, a saber: o segundo (s) para o tempo, o metro (m) para o comprimento, o quilograma (kg) para a massa, o ampere (A) para a corrente elétrica, o kelvin (K) para a temperatura termodinâmica e a candela (cd) para a intensidade luminosa.
II. O SI é adotado pela maior parte dos países no mundo, exceto por alguns países que utilizam outros sistemas não métricos, sistemas mistos (métrico + imperial) ou onde não é possível determinar qual sistema usam de fato. Atualmente o SI é coordenado pelo Bureau Internacional de Pesos e Unidades (BIPU).
III. No SI, o metro é definido como equivalente a 1.650.763,73 comprimentos de onda de luz vermelho-alaranjada de uma transição atômica hiperfina do criptônio-86 emitida em um tubo de descarga gasosa.
IV. A candela é a unidade de intensidade luminosa padrão no Sl e sua origem histórica refere-se ao brilho de uma chama de uma vela padrão, que emitia 1 cd por definição, e era feita cera de espermacete, substância encontrada na cabeça da baleia cachalote. Atualmente, a candela é definida no SI por meio da eficácia luminosa da radiação monocromática de frequência 540 x 1012 Hz.
V. O angstrom e o bar são unidades derivadas que fazem parte do SI.
É correto o que se afirma em:
Provas
Questão presente nas seguintes provas
Por meio do experimento clássico do Anel de
Gravesande, é possível demonstrar um fenômeno físico
importante relacionado a dilatação térmica dos sólidos.
Um anel de metal e uma esfera de metal possuem
dimensões tais que a esfera pode passar com certa
dificuldade através do anel em temperatura ambiente.
Isso significa que há uma pequena tolerância
dimensional entre as peças e a folga existente é muito
pequena quando estão na mesma temperatura. Ao
aquecer a esfera, por exemplo, observa-se que ela não
consegue mais passar pelo anel.
Este fenômeno é extensamente usado na prática em sistemas mecânicos para facilitar a montagem de eixos e rolamentos em maquinas e equipamentos, pois pode-se utilizar o aquecimento de um maçarico ou o resfriamento por nitrogénio liquido para dilatar ou contrair as partes do maquinário. Assim, com base no experimento de Gravesande, assinale a alternativa correta:
Este fenômeno é extensamente usado na prática em sistemas mecânicos para facilitar a montagem de eixos e rolamentos em maquinas e equipamentos, pois pode-se utilizar o aquecimento de um maçarico ou o resfriamento por nitrogénio liquido para dilatar ou contrair as partes do maquinário. Assim, com base no experimento de Gravesande, assinale a alternativa correta:
Provas
Questão presente nas seguintes provas
Em um experimento de física, um aluno coloca uma
esfera metálica carregada positivamente próxima a uma
esfera metálica neutra, sem que haja contato entre elas.
Observa-se que a esfera neutra, inicialmente sem carga,
passa a apresentar uma separação de cargas, com a
superfície mais próxima da esfera carregada,
tornando-se negativamente carregada e a superfície
mais afastada, tornando-se positivamente carregada.
Após remover a esfera carregada, a esfera neutra volta
ao seu estado inicial de carga.
Esse fenômeno ilustra um dos processos de eletrização, que é frequentemente utilizado em dispositivos como os eletroscópios, para detectar a presença de carga elétrica.
Assinale a alternativa que corretamente identifica o processo de eletrização descrito e explica como ele ocorre:
Esse fenômeno ilustra um dos processos de eletrização, que é frequentemente utilizado em dispositivos como os eletroscópios, para detectar a presença de carga elétrica.
Assinale a alternativa que corretamente identifica o processo de eletrização descrito e explica como ele ocorre:
Provas
Questão presente nas seguintes provas
"Para uma criatura tão pequena quanto o homem,
parece que todas as massas e montanhas devem
retumbantemente responder às impressões de suas
volições, como se a maior parte de sua essência
espiritual não fosse em si própria uma coisa solidária.
Mas se alguma vez você conseguiu a solidão no mar,
então sabe o quão pequena e insignificante, e quão
inapelavelmente solidaria, e o quão eternamente
condenada, é toda a loucura do homem!" (Melville,
Herman. Moby Dick. 1851).
Assim como os marinheiros em "Moby Dick" percebem a imensidão e a solidão do mar, as baleias jubarte utilizam seus complexos cantos para se comunicarem em vastas distâncias no oceano. Esses cantos são fundamentais para a comunicação, navegação e acasalamento das baleias. No entanto, o homem, em sua loucura expansionista, por meio da navegação marítima intensiva, tem introduzido níveis significativos de poluição sonora nos oceanos, afetando a capacidade das baleias de se comunicarem eficazmente.
Considere que a frequência dos cantos das baleias varia de 20 Hz a 10 kHz e que a velocidade do som na água é de, aproximadamente, 1500 m/s. Além disso, considere os efeitos da atenuação sonora no meio aquático e a interferência das ondas de baixa frequência geradas pelos motores dos navios.
A respeito do impacto da navegação marítima sobre as baleias e os aspectos físicos da emissão do som por esses animais, assinale a alternativa correta:
Assim como os marinheiros em "Moby Dick" percebem a imensidão e a solidão do mar, as baleias jubarte utilizam seus complexos cantos para se comunicarem em vastas distâncias no oceano. Esses cantos são fundamentais para a comunicação, navegação e acasalamento das baleias. No entanto, o homem, em sua loucura expansionista, por meio da navegação marítima intensiva, tem introduzido níveis significativos de poluição sonora nos oceanos, afetando a capacidade das baleias de se comunicarem eficazmente.
Considere que a frequência dos cantos das baleias varia de 20 Hz a 10 kHz e que a velocidade do som na água é de, aproximadamente, 1500 m/s. Além disso, considere os efeitos da atenuação sonora no meio aquático e a interferência das ondas de baixa frequência geradas pelos motores dos navios.
A respeito do impacto da navegação marítima sobre as baleias e os aspectos físicos da emissão do som por esses animais, assinale a alternativa correta:
Provas
Questão presente nas seguintes provas
Dadas duas barras de metal, A e B, ligadas rigidamente,
sendo a primeira feita de alumínio com 70 cm de
comprimento a 20 ºC e a segunda de aço, apresentando
um comprimento de 30 cm na mesma temperatura. Ao
sofrer dilatação térmica por aumento da temperatura,
ambas devem aumentar seu comprimento inicial, de
modo que a barra composta tenha um comprimento final
de acordo com a soma das variações de seus
comprimentos individuais, assumindo que sofram a
mesma variação de temperatura.
Determine, a partir da tabela a seguir, qual seria o material mais indicado dentre os mostrados para substituir as duas barras por uma única C, feita de um só material que tenha o mesmo comprimento total que a barra composta independente da variação de temperatura apresentada.
Assinale a alternativa correta para o material que pode substituir a barra composta nessas condições apresentadas:
Determine, a partir da tabela a seguir, qual seria o material mais indicado dentre os mostrados para substituir as duas barras por uma única C, feita de um só material que tenha o mesmo comprimento total que a barra composta independente da variação de temperatura apresentada.
Assinale a alternativa correta para o material que pode substituir a barra composta nessas condições apresentadas:
Provas
Questão presente nas seguintes provas
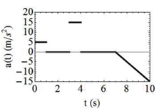
O gráfico a seguir mostra o movimento de um braço
robótico que executa um movimento linear de translação,
de modo que a sua velocidade v(t) varia no tempo t no
intervalo temporal em que ocorre. Nos sistemas
mecânicos industriais, é necessário evitar mudanças
extremas e abruptas, tanto de velocidade quanto de
aceleração, e o movimento deve ser o mais suave
possível para que as peças não sejam danificadas. Esse
aspecto aparece no gráfico hipotético mostrado pela
presença de arestas proeminentes ("cantos vivos"), que,
em um sistema físico realista, não devem ocorrer e a
função deve apresentar, de fato, um comportamento
suave, com cantos arredondados.
De acordo com o gráfico da velocidade em função do tempo, assinale a alternativa correta que mostra como deve ser o comportamento da aceleração em função do tempo para o robô nessas condições:

De acordo com o gráfico da velocidade em função do tempo, assinale a alternativa correta que mostra como deve ser o comportamento da aceleração em função do tempo para o robô nessas condições:

Provas
Questão presente nas seguintes provas
Quando observamos uma vela colocada em frente a um
espelho esférico concavo, de tal maneira que ela esteja
posicionada relativamente ao espelho no eixo principal
além do centro de curvatura C do espelho, quais devem
ser as características da imagem? Assuma que a
reflexão no espelho esférico obedece a condição de
nitidez de Gauss.
Assinale a alternativa que corretamente que define as propriedades da imagem formada:
Assinale a alternativa que corretamente que define as propriedades da imagem formada:
Provas
Questão presente nas seguintes provas
Dois termômetros de mercúrio, um calibrado na escala
Celsius e outro na escala Fahrenheit, são usados para
medir a temperatura de uma amostra de agua aquecida.
Realizando a imersão dos termômetros na água,
verifica-se que há uma diferença numérica de 70
unidades entre as leituras obtidas nos dois termômetros
no equilíbrio térmico.
Assinale a alternativa correta que determina qual foi a temperatura da amostra medida em ambas as escalas:
Assinale a alternativa correta que determina qual foi a temperatura da amostra medida em ambas as escalas:
Provas
Questão presente nas seguintes provas
Considere a fervura da água em uma chaleira para
preparar uma macarronada. Sabe-se que o cozimento do
macarrão envolve hidratar e gelatinizar o amido contido
na massa. Para isso, é fundamental utilizar água quente
ou fervente. A escolha entre água aquecida e fervente
pode afetar tanto a textura final do macarrão quanto suas
características alimentícias. Quando o macarrão é
adicionado à água fervente, ele rapidamente absorve a
água, o que causa a expansão e a gelatinização dos
amidos. Este processo é rápido e eficiente, garantindo
uma textura firme, mas macia.
A fervura ocorre em duas etapas distintas: primeiro, o aquecimento da água até seu ponto de ebulição e, em seguida, a conversão da água líquida em vapor. Nesse contexto, analise as asserções a seguir e a relação proposta entre elas:
l. Durante o aquecimento da água da temperatura ambiente até 100°C, a energia térmica fornecida é utilizada para aumentar a sua temperatura.
E
Il. Simultaneamente à primeira, no processo de fervura da água a 100°C em uma chaleira, a energia térmica fornecida é utilizada para diminuir a fase da agua de liquido para vapor, sem que haja qualquer mudança na temperatura na transição.
A respeito dessas asserções, assinale a opção correta:
A fervura ocorre em duas etapas distintas: primeiro, o aquecimento da água até seu ponto de ebulição e, em seguida, a conversão da água líquida em vapor. Nesse contexto, analise as asserções a seguir e a relação proposta entre elas:
l. Durante o aquecimento da água da temperatura ambiente até 100°C, a energia térmica fornecida é utilizada para aumentar a sua temperatura.
E
Il. Simultaneamente à primeira, no processo de fervura da água a 100°C em uma chaleira, a energia térmica fornecida é utilizada para diminuir a fase da agua de liquido para vapor, sem que haja qualquer mudança na temperatura na transição.
A respeito dessas asserções, assinale a opção correta:
Provas
Questão presente nas seguintes provas
Um menino brincando com pequenas pedras, ao fazer malabarismos, lança uma delas verticalmente para cima a
uma velocidade de 3 m/s. Logo em seguida, após um segundo de intervalo, lança uma segunda pedra também para
cima, com uma velocidade maior igual a 7 m/s. Assuma que o menino lança ambas as pedras a partir de uma altura
de 80 cm em relação ao solo. Use g = 9,8 m/s² e desconsidere a resistência do ar na ascensão e queda das pedras.
De acordo com este contexto, analise os itens apresentados a seguir:
I. O tempo de subida da segunda pedra até a altura máxima é igual a 0,93 segundos.
II. A diferença entre as alturas máximas alcançadas pelas pedras é, aproximadamente, 2 metros.
III. O intervalo de tempo transcorrido entre os retornos das pedras ao solo é igual a 12 segundos.
É correto o que se afirma em:
De acordo com este contexto, analise os itens apresentados a seguir:
I. O tempo de subida da segunda pedra até a altura máxima é igual a 0,93 segundos.
II. A diferença entre as alturas máximas alcançadas pelas pedras é, aproximadamente, 2 metros.
III. O intervalo de tempo transcorrido entre os retornos das pedras ao solo é igual a 12 segundos.
É correto o que se afirma em:
Provas
Questão presente nas seguintes provas
Cadernos
Caderno Container