Foram encontradas 859 questões.
- FundamentosSubstâncias, Misturas e Processos de Separação
- Química InorgânicaSoluções e Substâncias InorgânicasSoluções: características, tipos de concentração, diluição, mistura, titulação e soluções coloidais
Uma solução contém íons aqui designados por: X2+, Y3+ e Z2+ em igual concentração 0,01 mol.L-1 . Quando íons hidroxila são adicionados lentamente à solução, formam-se hidróxidos insolúveis desses cátions que precipitam seletivamente. A ordem de precipitação dos hidróxidos está indicada na alternativa:
Dado Kps: X(OH)2 = 4,0 x 10-20 ; Y(OH)3 = 2,7 x 10-34 e Z(OH)2 = 1,6 x 10-11
Provas
Dentre os gases poluentes atmosféricos presentes em muitas áreas tipicamente urbanas, um é o principal responsável pelo fenômeno denominado névoa fotoquímica. A alternativa que apresenta esse gás é:
Provas
Um meio é bom condutor de corrente elétrica quando possui elétrons livres ou quando apresenta íons com liberdade de movimento. Considere os seguintes sistemas materiais:
I. Lâmina de níquel
II. Bastão de grafite
III. Solução aquosa de nitrato de sódio
IV. Mistura gasosa de H2 e HCℓ
V. Cloreto de potássio fundido
VI. Solução aquosa de sacarose
VII. CH3COOH/H2O
VIII. Nitrato de potássio sólido
Assinale a alternativa que contém apenas sistemas bons condutores de corrente elétrica.
Provas
A purificação do cobre é realizada por eletrólise. Cobre bruto funciona como ânodo, enquanto cobre puro como cátodo. Uma cuba eletrolítica que utiliza uma corrente de 40 A, funcionou durante certo tempo t para purificar o cobre contido em uma placa. Ao final do processo a massa do cátodo aumentou em 5,08 kg. O tempo t, em horas, de funcionamento da célula está indicado na alternativa:
Dado: Massa atômica do Cobre = 63,5u
Provas
- Química OrgânicaFunções Nitrogenadas: Amina, Amida, Nitrila, Isonitrila e Nitro Composto
- Química OrgânicaFunções Oxigenadas: Álcool, Fenol e Enol
- Química OrgânicaFunções Oxigenadas: Cetona, Aldeído, Éter, Éster, Ácido Carboxílico etc.
As questões de números 61 e 62 são relativas ao seguinte texto.
A carência de iodo na alimentação pode conduzir a um aumento de volume da glândula tireoide (bócio). O iodo é um constituinte essencial da tiroxina, um hormônio tiroidal, cuja estrutura é:

Na tiroxina há grupos de átomos que caracterizam as seguintes funções da química orgânica:
Provas
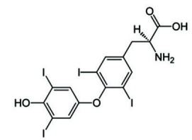
As questões de números 61 e 62 são relativas ao seguinte texto.
A carência de iodo na alimentação pode conduzir a um aumento de volume da glândula tireoide (bócio). O iodo é um constituinte essencial da tiroxina, um hormônio tiroidal, cuja estrutura é:

São feitas as seguintes afirmativas sobre a estrutura da tiroxina:
I. Possui 13 carbonos hibridizados na forma sp2.
II. Apresenta apenas um átomo de carbono quiral.
III. Sua fórmula molecular é C15H11I4NO4.
IV. Possui 13 carbonos secundários, um primário e um terciário.
V. Contém sete ligações pi.
Assinale a alternativa em que está indicado o número de afirmativas corretas.
Provas
As questões de números 51 e 52 são relativas ao seguinte texto.
Na análise de misturas gasosas por absorção, os diferentes constituintes são sucessivamente determinados por fixação em reagentes adequados. A marcha da análise se processa segundo uma ordem bem-definida. Certos componentes não são determináveis por absorção, formando uma mistura residual, cujos constituintes devem ser determinados por outros métodos. Considere a mistura gasosa: monóxido de carbono, etileno, metano, dióxido de carbono e oxigênio.
ALCIDES, Otto. Química Analítica. 1983. p. 639/642.
Uma amostra líquida de um rejeito foi levada ao laboratório para análise, pois havia suspeita de contaminantes metálicos na forma de íons, aqui designados por: 1, 2, 3 e 4. A amostra foi submetida à seguinte rotina:

A análise da marcha de separação dos cátions proposta na rotina permite concluir que a alternativa que apresenta os íons 1, 2, 3 e 4, nessa ordem é:
Provas
- Química CinéticaRepresentação das Transformações Químicas
- Química InorgânicaReações InorgânicasCálculo Estequiométrico
As questões de números 51 e 52 são relativas ao seguinte texto.
Na análise de misturas gasosas por absorção, os diferentes constituintes são sucessivamente determinados por fixação em reagentes adequados. A marcha da análise se processa segundo uma ordem bem-definida. Certos componentes não são determináveis por absorção, formando uma mistura residual, cujos constituintes devem ser determinados por outros métodos. Considere a mistura gasosa: monóxido de carbono, etileno, metano, dióxido de carbono e oxigênio.
ALCIDES, Otto. Química Analítica. 1983. p. 639/642.
A equação química de uma reação redox iônica está corretamente escrita quando contém o mesmo número de cada tipo de átomo bem como as mesmas cargas em ambos os lados. Considere a reação de oxirredução iônica representada pela seguinte equação não balanceada.
I- + !$ MnO_4^- !$ + H2O → I2 + MnO2 + OH-
Após ajustar a equação com os menores coeficientes inteiros, assinale a alternativa que apresenta a soma dos coeficientes das espécies reagentes iônicas.
Provas
As questões de números 51 e 52 são relativas ao seguinte texto.
Na análise de misturas gasosas por absorção, os diferentes constituintes são sucessivamente determinados por fixação em reagentes adequados. A marcha da análise se processa segundo uma ordem bem-definida. Certos componentes não são determináveis por absorção, formando uma mistura residual, cujos constituintes devem ser determinados por outros métodos. Considere a mistura gasosa: monóxido de carbono, etileno, metano, dióxido de carbono e oxigênio.
ALCIDES, Otto. Química Analítica. 1983. p. 639/642.
O quadro que segue mostra as cores de alguns indicadores ácido/base para diferentes valores de pH, a 250C.
pH | |||||
5 | 6 | 7 | 9 | 10 | |
Azul de bromotimol | amarelo | amarelo | verde | azul | azul |
Verde de bromocresol | verde | azul | azul | azul | azul |
Vermelho de fenol | amarelo | amarelo | amarelo | laranja | vermelho |
Vermelho de metila | laranja | amarelo | amarelo | amarelo | amarelo |
fenolftaleína | incolor | incolor | incolor | róseo | róseo |
A alternativa que apresenta o melhor indicador para verificar o pH neutro de uma amostra de água a 25 °C é:
Provas
As questões de números 51 e 52 são relativas ao seguinte texto.
Na análise de misturas gasosas por absorção, os diferentes constituintes são sucessivamente determinados por fixação em reagentes adequados. A marcha da análise se processa segundo uma ordem bem-definida. Certos componentes não são determináveis por absorção, formando uma mistura residual, cujos constituintes devem ser determinados por outros métodos. Considere a mistura gasosa: monóxido de carbono, etileno, metano, dióxido de carbono e oxigênio.
ALCIDES, Otto. Química Analítica. 1983. p. 639/642.
Tradicionalmente, a dureza é expressa não como concentração molar de íons, mas como a massa em miligramas (por litro) de carbonato de cálcio que contém o mesmo número total de íons divalentes (2+). Assim, uma amostra de 500 mL de água que apresenta 0,0080 g de íon cálcio e 0,0024 g de íon magnésio tem dureza igual a:
Dado: Massas atômicas (u) – Ca: 40; Mg: 24; C: 12; O: 16.
Provas
Caderno Container