Foram encontradas 100 questões.

Julgue o item seguinte, considerando que a medição M₃ seja dada em volts.
Substituindo-se R₂ por um indutor, em regime permanente do circuito CC apresentado, M₃ indicará um valor de tensão igual a 0 volts.
Provas

Julgue o item seguinte, considerando que a medição M₃ seja dada em volts.
Sabendo-se que o produto M₁.M₂ resulta na potência dissipada no resistor R₁, é correto afirmar que a medida M₁ é dada em ampères e a medida M₂ é dada em volts.
Provas

Em relação aos sinais apresentados, sabendo que a escala de amplitude é dada em volts e ampères para os sinais V e I, respectivamente, julgue o item subsecutivo.
Assumindo-se o módulo dos fasores de V e I como sendo o valor eficaz dos respectivos sinais, é correto afirmar que a potência
complexa associada à impedância Z do circuito é igual a ![]()
Provas
O mundo contemporâneo, em constante processo de transformação e inovação tecnológica e com suas consequentes alterações no âmbito do mundo do trabalho, demanda a construção de um projeto de Educação Profissional que supere a dualidade entre o ensino geral, propedêutico, e o ensino técnico, de forma a deslocar o foco dos seus objetivos do mercado de trabalho para o desenvolvimento humano, tendo como dimensões indissociáveis a aprendizagem, a cidadania, o trabalho, as comunicações, a ciência e a tecnologia, entre outras.
Currículo em Movimento da Educação Básica – Educação Profissional e a Distância. Secretaria de Educação do Distrito Federal (com adaptações).
Em relação ao Currículo em Movimento da Educação Básica – Educação Profissional e a Distância, julgue o item a seguir.
As matrizes curriculares dos cursos de Educação Profissional, independentemente do seu eixo tecnológico, devem pautar-se pela formação integral dos estudantes, de forma a promover-lhes condições de apropriação dos fundamentos sociais, científicos e tecnológicos necessários ao exercício profissional.
Provas

Considerando que os diagramas tenham sido construídos com base apenas no comportamento em regime permanente do circuito após o fechamento da chave, julgue o item a seguir.
De acordo com a Figura 1, Z₁ é uma impedância predominantemente indutiva e o fator de potência final após a conexão de Z₂ é adiantado.
Provas


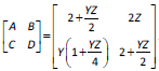
Considerando que, na linha de transmissão Y1 = Y2 = Y/2, sejam obtidos os parâmetros ABCD apresentados para cada elemento, julgue o item a seguir.
Os parâmetros ABCD obtidos após a interligação em cascata da linha de transmissão e do transformador serão iguais a

Provas

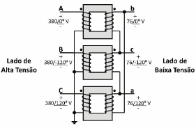
A partir do esquema apresentado, julgue o item que se segue.
A defasagem angular das grandezas elétricas do terminal de alta tensão em relação às medidas no terminal de baixa tensão é igual a -150º.
Provas

A partir do esquema apresentado, julgue o item que se segue.
O grupo de defasagem do banco trifásico de transformadores apresentado é Dy7.
Provas

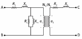
Ao utilizar o modelo, é importante compreender o significado de cada componente do circuito, bem como a correta realização de ensaios de curto-circuito e circuito aberto (ensaio em vazio) para estimação dos parâmetros R₁, R₂, X₁, X₂, Rc e Xm. Nesse contexto, em relação aos referidos ensaios e aos parâmetros do modelo do transformador, julgue os próximos itens.
A resistência Rc representa as perdas nos enrolamentos que estão em torno do núcleo ferromagnético do transformador, enquanto a reatância X m representa as perdas por histerese.
Provas

Em relação ao processo de estimação dos parâmetros R₁, R₂, X₁, X₂, Rc e X m, sabe-se que o ensaio de curto-circuito permite o cálculo de R₁, R₂, X₁ e X₂, enquanto o ensaio de circuito aberto (ensaio em vazio) viabiliza o cálculo de Rc e Xm.
Provas
Caderno Container