Foram encontradas 100 questões.
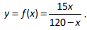
Para concluir uma obra em x dias, a empreiteira de engenharia previu que a quantidade de operários necessária, y, poderia ser expressa por uma função da forma:
A respeito dessa situação, julgue o item subsequente.
A função inversa de y = f(x) pode ser expressa por ![]()
Provas
A respeito de progressões aritméticas e geométricas, julgue o item a seguir.
Considere-se que uma empresa de engenharia construirá, a partir de abril do próximo ano, um edifício de 15 andares e que, para facilitar a logística e prevendo custos, tenha projetado que: o início da construção do primeiro andar será em abril, a do segundo, em maio, e assim sucessivamente, um andar será iniciado a cada mês; o custo de construção de cada andar, a partir do segundo, terá uma correção fixa de R$ 200.000,00 em relação ao preço do andar anterior; e o custo de construção do último andar será 8 vezes o custo de construção do primeiro. Nessa situação, o preço de construção do primeiro andar será inferior a R$ 500.000,00 e o do último, superior a R$ 3.000.000,00.
Provas

Tendo como referência a figura apresentada e as medidas fornecidas, julgue o item que se segue.
O teorema de Tales permite concluir que CF = 2 × FJ, que BG = 2 × GK e que AH = 2 × HL.
Provas

Julgue o item seguinte em relação às ideias e aos aspectos linguísticos do texto.
A sequência “Novos letramentos são exigidos” (linha 14) poderia ser reescrita, de acordo com a prescrição gramatical e com o sentido original do texto, da seguinte forma: Exige-se novos letramentos.
Provas
<https://corporate.canaltech.com.br>(com adaptações).
Considerando as ideias e os aspectos linguísticos do texto, julgue o item que se segue.
A supressão da vírgula após a palavra “coletiva” (linha 28) manteria a correção gramatical, mas provocaria alteração do sentido originalmente pretendido no texto.
Provas

Julgue o item seguinte em relação às ideias e aos aspectos linguísticos do texto.
A inserção do conector “contudo”, entre vírgulas, após a forma verbal “É” (linha 4) manteria a correção gramatical do texto e evidenciaria a relação de sentido estabelecida entre os dois primeiros períodos do primeiro parágrafo do texto.
Provas

Julgue o item seguinte em relação às ideias e aos aspectos linguísticos do texto.
A substituição da vírgula empregada após “digital” (linha 8) por ponto final, com o devido ajuste de maiúscula e minúscula, constituiria eficiente recurso enfático, sem prejuízo da correção gramatical e da coerência textual.
Provas
<https://corporate.canaltech.com.br>(com adaptações).
Considerando as ideias e os aspectos linguísticos do texto, julgue o item que se segue.
Na linha 1, caso se suprima o artigo definido que determina “novas tecnologias de informação e comunicação”, deve-se suprimir também o acento grave, indicativo de crase: a novas tecnologias de informação e comunicação.
Provas
Um mero vocativo – minha querida – uma explosão de emoções.
Soubessem os gramáticos dos efeitos devastadores do termo, ele estaria entre os essenciais.
No que se refere aos sentidos e aspectos gramaticais do texto, bem como à adequação da linguagem à comunicação oficial, julgue o próximo item.
A oração “Soubessem os gramáticos dos efeitos devastadores do termo” expressa sentido concessivo em relação à outra oração do período.
Provas
Um mero vocativo – minha querida – uma explosão de emoções. Soubessem os gramáticos dos efeitos devastadores do termo, ele estaria entre os essenciais.
No que se refere aos sentidos e aspectos gramaticais do texto, bem como à adequação da linguagem à comunicação oficial, julgue o próximo item.
A expressão “dos efeitos devastadores do termo” complementa o sentido do substantivo “gramáticos”.
Provas
Caderno Container
