Foram encontradas 890 questões.

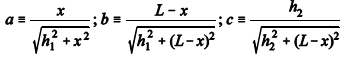
A figura precedente ilustra dois meios diferentes com índice de refração n1 e n2 e três raios de luz: um incidente, um refletido e um refratado. São apresentadas, a seguir, as definições geométricas relativas a essa figura.

Considerando a figura e as informações apresentadas, julgue o próximo item.
Na situação de reflexão, a = b.
Provas

A figura precedente ilustra dois meios diferentes com índice de refração n1 e n2 e três raios de luz: um incidente, um refletido e um refratado. São apresentadas, a seguir, as definições geométricas relativas a essa figura.

Considerando a figura e as informações apresentadas, julgue o próximo item.
De acordo com o princípio de Fermat, a trajetória da luz, ao passar de um ponto para outro, é tal, que o tempo do percurso é o menor possível.
Provas
- EletromagnetismoElétricaCircuitos Elétricos Especiais: Leis de Kirchhoff e Ponte de Wheatstone
- EletromagnetismoElétricaEletricidade
- EletromagnetismoElétricaEletrostática

A figura precedente ilustra graficamente o comportamento do ângulo de fase Φ em função da frequência de ressonância ω = 2πf, para um circuito RLC, em que . Nessa figura, alguns valores de Φ em função de ω estão representados.
Com base nesse gráfico e nessas informações, julgue o item que se segue.
A intensidade média de uma onda eletromagnética é inversamente proporcional ao módulo do vetor campo elétrico.
Provas

A figura precedente ilustra graficamente o comportamento do ângulo de fase Φ em função da frequência de ressonância ω = 2πf, para um circuito RLC, em que . Nessa figura, alguns valores de Φ em função de ω estão representados.
Com base nesse gráfico e nessas informações, julgue o item que se segue.
A razão entre as amplitudes máximas da componente elétrica e da magnética de uma onda eletromagnética é igual à velocidade da luz.
Provas
- EletromagnetismoElétricaCircuitos Elétricos Especiais: Leis de Kirchhoff e Ponte de Wheatstone
- EletromagnetismoElétricaEletricidade

A figura precedente ilustra graficamente o comportamento do ângulo de fase Φ em função da frequência de ressonância ω = 2πf, para um circuito RLC, em que . Nessa figura, alguns valores de Φ em função de ω estão representados.
Com base nesse gráfico e nessas informações, julgue o item que se segue.
A frequência de ressonância ƒ é igual a 1.000/2π Hz.
Provas

A figura II precedente mostra a representação fasorial da corrente e da voltagem instantâneas do circuito RLC ilustrado na figura I. Nesse circuito, é ilustrado um indutor de indutância L, um capacitor de capacitância C, um resistor de resistência R e uma fonte de voltagem alternada de V. Na figura II, ω = 2πf é a frequência angular de ressonância, e Φ é a fase entre o vetor amplitude de corrente I e o vetor amplitude de voltagem V, em que V = IZ. Z é a impedância do circuito. Considerando essas informações, julgue o item a seguir.
A frequência de ressonância desse circuito independe do valor da resistência deste.
Provas
- EletromagnetismoElétricaCircuitos Elétricos Especiais: Leis de Kirchhoff e Ponte de Wheatstone
- EletromagnetismoElétricaEletricidade

A figura II precedente mostra a representação fasorial da corrente e da voltagem instantâneas do circuito RLC ilustrado na figura I. Nesse circuito, é ilustrado um indutor de indutância L, um capacitor de capacitância C, um resistor de resistência R e uma fonte de voltagem alternada de V. Na figura II, ω = 2πf é a frequência angular de ressonância, e Φ é a fase entre o vetor amplitude de corrente I e o vetor amplitude de voltagem V, em que V = IZ. Z é a impedância do circuito. Considerando essas informações, julgue o item a seguir.
Na situação em que o sistema absorve a máxima energia,
ou seja, na condição de ressonância, o ângulo 
Provas
- EletromagnetismoElétricaCircuitos Elétricos Especiais: Leis de Kirchhoff e Ponte de Wheatstone
- EletromagnetismoElétricaEletricidade
- EletromagnetismoElétricaResistores e Potência Elétrica

A figura II precedente mostra a representação fasorial da corrente e da voltagem instantâneas do circuito RLC ilustrado na figura I. Nesse circuito, é ilustrado um indutor de indutância L, um capacitor de capacitância C, um resistor de resistência R e uma fonte de voltagem alternada de V. Na figura II, ω = 2πf é a frequência angular de ressonância, e Φ é a fase entre o vetor amplitude de corrente I e o vetor amplitude de voltagem V, em que V = IZ. Z é a impedância do circuito. Considerando essas informações, julgue o item a seguir.
A potência média desse circuito é dada por 
Provas
- EletromagnetismoElétricaCircuitos Elétricos Especiais: Leis de Kirchhoff e Ponte de Wheatstone
- EletromagnetismoElétricaEletricidade

A figura precedente é constituída de um solenoide considerado ideal, de indutância L e n espiras por unidade de comprimento, conectado em série a um resistor R e a um capacitor carregado, de capacitância C. A carga no capacitor é q = Cε, em que ε é a voltagem máxima utilizada para carregar o circuito. Em t = 0, a chave é ligada.
Com base nessas informações, julgue o item subsecutivo.
Considerando, no circuito apresentado, a situação em que existam apenas o capacitor carregado e a resistência, quando a chave é ligada, o comportamento da carga q, em função do tempo, t, é dada por q = q0 t.
Provas
- EletromagnetismoElétricaCircuitos Elétricos Especiais: Leis de Kirchhoff e Ponte de Wheatstone
- EletromagnetismoElétricaEletricidade

A figura precedente é constituída de um solenoide considerado ideal, de indutância L e n espiras por unidade de comprimento, conectado em série a um resistor R e a um capacitor carregado, de capacitância C. A carga no capacitor é q = Cε, em que ε é a voltagem máxima utilizada para carregar o circuito. Em t = 0, a chave é ligada.
Com base nessas informações, julgue o item subsecutivo.
A equação relacionada a esse circuito, no qual q é a carga e t
o tempo, pode ser expressa por 
Provas
Caderno Container