Foram encontradas 1.077 questões.
Analise a fragmento a seguir.
“O gráfico de _____ permite calcular a pressão _____ devida a uma carga sobre o solo em forma de _____, de comprimento _____.”
Assinale a opção que completa corretamente as lacunas do fragmento acima.
Provas
Com relação às condições para determinação gráfica de redes de fluxo de água em solo poroso, assinale V para a afirmativa verdadeira e F para a falsa.
( ) As linhas de fluxo e equipotenciais são traçadas por tentativa e erro e são consideradas normais entre si.
( ) Todas as superfícies de entrada e saída d’água são equipotenciais.
( ) As linhas freáticas (superfícies livres em contato com a pressão atmosférica) terão, em cada ponto, o potencial determinado pela própria cota do ponto.
Provas
Provas
Um dos problemas encontrados nas tubulações de esgoto é o entupimento devido ao mau uso das pessoas que jogam objetos estranhos nos vasos sanitários e, em alguns casos, diretamente nos poços de visita.
Com relação às operações de desobstrução de redes de esgotos, analise as afirmativas a seguir.
I. Quando é detectado um entupimento na rede coletora, inicialmente, é encaminhada uma equipe munida de um rolo de arame de aço. Enquanto um profissional guia o arame na rede coletora, outros dois fazem à rotação manual do arame, introduzindo-o na rede para a remoção do material que provocou o entupimento.
II. Quando operações manuais falham, são mobilizados equipamentos mecânicos como varas metálicas acopláveis, acionadas por um motor que provoca sua rotação.
III. Quando equipamentos mecânicos simples falham, são usados equipamentos mais robustos como sewer jet ou hidrojateamento, o Vácuo Flex, ou o Vac All.
Provas
Provas
Provas
Observe as telhas cerâmicas a seguir.

Esta telha é do tipo
Provas
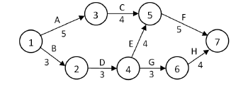
O caminho crítico do projeto é definido pela seguinte sequência
de atividades: Provas
Provas
- Gerenciamento, Planejamento e Controle de Obras
- Orçamento no Planejamento e Controle de Obras na Engenharia Civil

Provas
Caderno Container