Foram encontradas 577 questões.
Provas
Provas
Disciplina: Espanhol (Língua Espanhola)
Banca: CESPE / CEBRASPE
Orgão: SEDUC-CE
La lengua no es un conjunto cerrado de conocimientos que el alumno tenga que memorizar, sino una herramienta comunicativa útil para conseguir cosas: pedir un café en un bar, leer el periódico, expresar los sentimientos, pedir información, mostrar amabilidad, etc. La acción concreta con la que se consigue algún objetivo se llama acto de habla y consiste en la codificación o decodificación de un texto lingüístico. El conjunto completo de actos de habla es el conjunto de cosas que pueden conseguirse con la lengua y puede clasificarse con grandes grupos genéricos de funciones: saludar, pedir turno para hablar, excusarse, expresar la opinión, etc. Estas funciones se relacionan con los recursos lingüísticos correspondientes (las nociones): léxico, estructuras, conceptos abstractos, etc. y constituyen los contenidos y los objetivos de un curso comunicativo de lengua.
Internet: ‹www.upf.edu› (con adaptaciones).
Según el texto de arriba,
Provas
Disciplina: Espanhol (Língua Espanhola)
Banca: CESPE / CEBRASPE
Orgão: SEDUC-CE

Provas
Provas

O circuito elétrico representado acima é constituído por cinco resistores R1=R2=R3=R4 e cada resistor apresenta resistência igual a 2 Ω. O circuito é alimentado por uma fonte ε de 25 V.
Provas

O circuito elétrico representado acima é constituído por cinco resistores R1=R2=R3=R4 e cada resistor apresenta resistência igual a 2 Ω. O circuito é alimentado por uma fonte ε de 25 V.
Provas

O circuito elétrico representado acima é constituído por cinco resistores R1=R2=R3=R4 e cada resistor apresenta resistência igual a 2 Ω. O circuito é alimentado por uma fonte ε de 25 V.
Provas

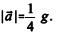
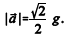
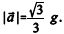
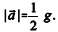
A figura acima representa dois blocos, 1 e 2, com massas m e 2 m, respectivamente, que começaram a se movimentar, de uma mesma altura h, a partir do repouso, em planos inclinados. Os coeficientes de atrito dinâmico dos blocos 1 e 2, com relação às superfícies dos planos inclinados, são, respectivamente, iguais a µ1 e µ2 .
Se μ1 = 1/4, o módulo da aceleração resultante
do bloco 2, em
função da aceleração da gravidade local g, é igual a
Provas

A corrente de água de um rio se desloca com velocidade constante e uniforme. Na figura acima, a direção x indica a direção da corrente e y a direção perpendicular a esta corrente. Um barco 1, com velocidade escalar constante v em relação à água do rio, se desloca do ponto A até o ponto B e volta até o ponto A, sempre em linha reta. Um barco 2, também com velocidade escalar constante em relação à água do rio, se desloca do ponto C até o ponto D e volta até o ponto C, sempre em linha reta.
Provas
Caderno Container