Foram encontradas 70 questões.
Provas
A integral
x cos(x) dx vale
Provas

Considerando-se o gráfico de y = f(x) para –2 ≤ x ≤ 2 apresentado acima, os valores de a e b que minimizam a integral
f (x) dx são, respectivamente,Provas
Para x > 1, f(x) =
dt. Nesse caso, o coeficiente
angular da reta tangente ao gráfico de f, em x = π, vale
Provas
A mudança de variável u = ez transforma a integral
dz na integral
Provas
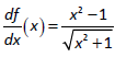
Se a derivada
, então x = –1 e x = 1 são,
respectivamente, pontos
Provas
Um pêndulo com aceleração a(t) m/s² está defasado
com relação à vertical de um ângulo θ(t) radianos.
Sabe-se que a igualdade θ(t) = arctan
é valida e que
a aceleração aumenta com taxa de 2 m/s2
.
Com base nessa situação hipotética, é correto afirmar que, utilizando-se a regra da cadeia, o ângulo θ(t)
Provas

Nesse caso hipotético, quem ganhou mais de renda bruta, após pagar o imposto, ficou com menos porque
Provas
Considerando f, g e h como funções contínuas e definidas na reta real,
assinale a alternativa que apresenta o valor de 
Provas
Se f (x) =
, em que p e q são raízes reais e
distintas de x² + ax + b, ambas diferentes de 1, então vale a
igualdade f (x) =
, em que A e B satisfazem
Provas
Caderno Container