Foram encontradas 49 questões.
Para resolver as questões 48, 49 e 50, considere os seguintes dados: Um estudante fixa um prego bem no centro de uma tábua quadrada de 40 cm de lado e coloca um barbante com duas argolas nas extremidades.
O conjunto argolas e barbante mede 15 cm. Uma extremidade gira em torno do prego e a outra contém um lápis que, ao girar 360º, desenha uma circunferência. Considere a tábua como o primeiro quadrante do plano cartesiano e as dimensões do prego, das argolas e do lápis desprezíveis.
A equação da circunferência desenhada é
Provas
Para resolver as questões 48, 49 e 50, considere os seguintes dados: Um estudante fixa um prego bem no centro de uma tábua quadrada de 40 cm de lado e coloca um barbante com duas argolas nas extremidades.
O conjunto argolas e barbante mede 15 cm. Uma extremidade gira em torno do prego e a outra contém um lápis que, ao girar 360º, desenha uma circunferência. Considere a tábua como o primeiro quadrante do plano cartesiano e as dimensões do prego, das argolas e do lápis desprezíveis.
As coordenadas do centro da tábua e a medida do raio da circunferência são, respectivamente,
Provas
Para resolver as questões 48, 49 e 50, considere os seguintes dados: Um estudante fixa um prego bem no centro de uma tábua quadrada de 40 cm de lado e coloca um barbante com duas argolas nas extremidades.
O conjunto argolas e barbante mede 15 cm. Uma extremidade gira em torno do prego e a outra contém um lápis que, ao girar 360º, desenha uma circunferência. Considere a tábua como o primeiro quadrante do plano cartesiano e as dimensões do prego, das argolas e do lápis desprezíveis.
As equações das retas suportes das diagonais da tábua são
Provas
Para responder às questões 45, 46 e 47, utilize os dados abaixo:
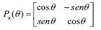
No plano, um ponto de coordenadas x, y) pode sofrer uma rotação de um ângulo θ radianos, em torno do eixo dos x, através da matriz de rotação Px θ ) abaixo 
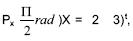
, onde X = x y )t a matriz das incógnitas, o resultado de 2x + 3y igual aProvas
Para responder às questões 45, 46 e 47, utilize os dados abaixo:
No plano, um ponto de coordenadas x, y) pode sofrer uma rotação de um ângulo θ radianos, em torno do eixo dos x, através da matriz de rotação Px θ ) abaixo 
A matriz de rotação Px θ ) é ortogonal, pois Px θ )[Px θ )]t = I. Quanto ao determinante de uma matriz ortogonal, podemos afirmar que ele é sempre igual a
Provas
Para responder às questões 45, 46 e 47, utilize os dados abaixo:
No plano, um ponto de coordenadas x, y) pode sofrer uma rotação de um ângulo θ radianos, em torno do eixo dos x, através da matriz de rotação Px θ ) abaixo 
Provas
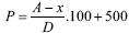
, onde P são os pontos padronizados, A é o número de acertos, x é a média aritmética dos acertos e D é o desvio padrão.Em um cargo no qual a média de acertos foi 4 e o desvio padrão, 0,8, os pontos padronizados de um candidato que teve 8 acertos foi igual a
Provas
- Estatística DescritivaMedidas de DispersãoDesvio Padrão
- Estatística DescritivaMedidas de Tendência CentralMédias
, onde P são os pontos padronizados, A é o número de acertos, x é a média aritmética dos acertos e D é o desvio padrão.Se quatro candidatos a um determinado cargo acertaram respectivamente 3, 4, 6 e 7, o desvio padrão das suas médias é igual à raiz quadrada de
Provas
O conhecimento desse teorema auxilia o professor do ensino fundamental, principalmente quando ministra aulas a respeito de
Provas
Provas
Caderno Container